October 18, 2019. A New York City hotel is holding a pandemic drill (archive) (MozArchive) which is supposed to educate the world leaders on what to do if such a situation arose in real life. You can check out the full list of participants here (archive) (MozArchive) - for now, just note that it contained people both from the USA and China. The highlight video of the event mentions stuff such as:
Literally everything stated in the video has later happened in the real world. But the single piece of evidence that seals the deal is the fact that they mentioned a novel coronavirus right at the start - instead of any one of the hundreds other possible infections (archive) (MozArchive). How could they have known, if this wasn't planned in advance? They said (archive) (MozArchive) that this wasn't a prediction and that the simulation was based on SARS (also a coronavirus) - but again, why not any of the other possible infections? And why did they get everything else right? These vermin have engineered this so-called pandemic and now - by saying "it's a coincidence, lol" - are mocking us right into our faces.
December 30, 2019. Li Wenliang, a doctor at the Wuhan Central Hospital, told his colleagues that 7 people were diagnosed with SARS infections that were traced back to the Huanan Seafood Wholesale Market, and that precautions should be taken. A few days later, Li was "educated" by the police to "not spread rumors". In the end, he was proven right - patients were coming in with a "new type of coronary pneumonia" and one of them even infected him on January 12 (translation graciously provided by the Big G botnet):
I was very worried at first, but the doctor would comfort me every day when I went to the ward. I am no longer feverish, and my mental state is better than a few days ago. I believe the hospital and the doctor, I will definitely be cured.
After recovering, I want to quickly return to the front line and continue to see the patient.
So he was on his way to health. His parents also got infected and fully recovered:
My parents also had fever and other symptoms after me. The lung CT showed ground-glass lesions. They are being treated in other hospitals in Wuhan, but they are all fine now, without any problems
However, he ended up dying (archive) (MozArchive), even though he wasn't in the age group (34) that dies from corona:
UPDATE: these are early figures and have now been proven terribly wrong. Despite that, even according to those early ones, Li should not have died. Here are the updated ones. His parents - aged over 60 (with a significantly higher, but still extremely low death rate) - have been able to recover without any problems
. But well, somehow he died; can't rule out malice since the death of a young doctor would be very useful for narrative purposes - and once you're in the hospital, it's easy to be killed incognito. Anyway, that's how the COVID story had started...officially.
I think the Wenliang saga was widely publicized for a reason. First of all, it allowed the so-called "elites" to instantly take control of the narrative. Immediately the coronavirus is portrayed as this ruthless killer that has to be contained fast or it's going to claim us all. Then, it has made it possible to blame everything on big bad China that eats weird animals and tried to censor poor Wenliang. This starts the country fights for the plebs (alt media like NaturalNews were happy to go all in on the China hate) while the so-called "elites" all happily work together during Event-201 and the creation of corona.
First of all, let's realize the fact that whoever counts the cases can do it in whatever way he wants to. So, the numbers we've been presented for the entirety of the "pandemic" might have been fudged. It's the same principle as in the saying, that it doesn't matter who you vote for, but who counts the votes. It has actually already been admitted that the fearmongers double-counted (archive) (MozArchive) tens of thousands of UK test results. I suspect they've done similar things in many other countries, so the overall case amount will be overreported even more. See how easy it is to create a "pandemic" when you control what is reported as a case? Hey, why not? No one can check up on you or punish you.
But let's be charitable and assume that a "case" is actually based on something real, like PCR test results. A PCR test is a tool that checks whether you have a certain genetic sequence in your body (in this case, a part of the COVID genetic sequence). Any time PCR testing is used - it is assumed that you having some genetic sequence inside your body means you are by definition sick and / or can infect others. Kary Mullis - the inventor of the PCR test - denied this interpretation, however (archive); all a positive result means is that something's there, not that it's necessarily doing something bad. Due to this inherent issue, a Portuguese court has ruled that quarantining (imprisoning) people due to a positive test result is illegal (archive) (MozArchive) (translation by a friend ^_^):
the diagnosis as to the existence of a disease, in relation to each and every person, is a matter that cannot be made by Law, Resolution, Decree, Regulation or any other normative way. Any diagnosis or any actof health surveillance carried out without prior medical observation violates Regulation No. 698/2019, of 5.9, as well as the provisions of article 97 of the Statute of the Order of Doctors, being liable to constitute the crime of usurpation of functions by article 358 b, of the Penal Code. Any person or entity that issues an order, the content of which leads to deprivation of physical freedom, ambulatory, of others that does not fit the legal provisions, namely in the provisions of article 27 of the CRP, will be making an illegal detention. By decision of 08/26-2020, the request for habeas corpus was granted, as it was illegal to detain them, determining the immediate restitution of the Claimants' freedom.
With this, it should already be obvious that "counting cases" was pointless - but let's continue. Every PCR test is set at a certain cycle threshold, which just means the amount of times you amplify the sequence you are trying to find. This means that, the higher the cycle threshold, the more people will be found positive (less amount of virus sequence in the body will trigger the test). However, less amount of virus sequence in the body also means less potential to get sick and infect others. The important thing to understand here, is that you can increase or decrease the amount of reported cases just by changing the amount of cycles the tests are run at. To determine the logically optimal amount of cycles to use, we need to find the correlation between the cycle threshold and the infectivity. That's exactly what this study (MozArchive) has attempted to do:
This graph shows that you cannot manufacture infectious virus in culture if the sample tested positive at 36 cycles or more. Even the people who tested positive with 30 cycles can only infect others 20% of the time. Now guess what amount of cycles have the authorities used for their tests?
This is only in the UK, but surely, this fraud was repeated worldwide. UPDATE: the same thing has been done in Australia (local) - Each amplification reaction is known as a cycle, and usually 35-45 cycles are undertaken
. And so, probably every country is in on the fraud. In terms of the UK graph - look at the amount of times figures above 36 appear, even though they are totally unjustifiable scientifically, since those cases cannot infect others. Since the 30-35 range is contagious 3-20% of the time (according to the first graph), the vast majority of cases tested positively with 30 to 45 cycles are fraudulent. And there are a lot of those:
About 30% of overall Covid cases are in the 31-40 CT range, and ~90% of those will be false positives. Even then, that's still the best case scenario for the fearmongers. Because other studies (MozArchive) got even more damning results:
SARS-CoV-2 Vero cell infectivity was only observed for RT-PCR Ct < 24
According to this study, anyone with a positive test at 25 cycles or more is not contagious. If we took this study at face value, about 3/4 of the listed COVID cases would be fraudulent. But it gets even worse - according to this paper (local):
Culture medium presents ideal conditions for a virus to grow and may detect virus that is not present in the quantities required to initiate infection in a human host.
This means that the infectious potential is even lower between humans than in culture, and so the "real" amount of cases drops even more. They clearly wanted as many cases as possible to scare you, and that's why they set up the tests this way. There were already suspicions back in February 2020 that the tests are only 20% accurate (archive) (MozArchive).
When the infection rate of the close contacts and the sensitivity and specificity of reported results were taken as the point estimates, the positive predictive value of the active screening was only 19.67%
But hey, there is more (as usual). Sometimes other, even less reliable methods have been used to inflate the stats. Early on in the pandemic China added a bunch of cases (MozArchive) entirely due to symptoms - On Wednesday, the province started including the number of clinically diagnosed cases in the total number of new confirmed cases, which added 13,332 cases to the provincial total
; this is even less reliable than the PCR test, as it's not specific - many COVID symptoms are repeated across other diseases. Texas did something similar (archive) (MozArchive) - DSHS is adding case counts for probable cases statewide and by county. Probable cases are those identified through antigen testing or a combination of symptoms and a known exposure without a more likely diagnosis
.
Looking at this with the wisdom of passed time, it's obvious to me that "counting cases" should have never been something that was done to begin with. All it does is provide a "big number" to scare people into submission to quarantines, lockdowns, and vaccines. And once you have people trusting that "big number", you can find ways to increase it infinitely and continue having a justification for the restrictions. Or you can then also reduce the "big number" whenever you want to show that a restriction has worked to contain the spread, for example. All while nothing really changes in terms of people getting sick, or the severity of their sicknesses. Meaning, the "bigness" of the number doesn't actually change what's happening in reality - as shown above in the many ways to fudge it. But, of course the so-called "elites" knew all this already before the "pandemic" started. And that's why they've focused so much on the "big numbers" (instead of - say - improving people's health so that they can survive the sickness). Another one of which was the coronavirus death rate:
Imagine you have in your hand a gun that can only kill people that wear green elf hats - it does absolutely nothing to anyone else. And even then - you'd have to wait weeks until the elf hat enthusiasts would maybe die. Wouldn't you think that is weird? Wouldn't you begin to wonder if - perhaps - it is those hats that kill their wearers, and not your weapon? If real guns worked that way, absolutely no one would buy such pieces of junk. Yet, that is exactly what COVID-19 does - except that the hat is replaced with chronic diseases and age (archive) (MozArchive):
As you can see, it's almost impossible to die from corona without those pre-existing diseases. Early Italy, which has had the highest death rate out of all the countries - provides even stronger evidence for my thesis. According to Silvio Brusaferro (archive) (MozArchive) - head of Italy's health institute - not one of the over 4000 deaths has been confirmed to be exclusively from corona:
Rome, 13 mar 19: 12- (Agenzia Nova) - people who died from coronavirus in Italy, who had no other pathologies, could be only two. This is what appears from the medical records examined so far by the Istituto superiore di sanità, according to the president of the Institute, Silvio Brusaferro, during the press conference held today at the Civil Protection in Rome. "Positive deceased patients have an average of over 80 years - 80.3 to be exact - and are basically predominantly male"
Only two people were not at the moment carriers of pathologies, but even in these two cases, the examination of the records is not concluded and could, therefore, emerge causes of death other than COVID-19.
Translation graciously provided by the Yandex botnet. So, not only were the people who died old (look at the chart at the top of this report to realize anyone under age 60 is pretty much immune), but they've also all had chronic diseases - both massive causes of death that certainly don't need help from some puny virus. The deaths are also almost all from heavily polluted areas (archive) (MozArchive) - yet another contributing factor independent of corona. Anytime someone gets sick or dies, there is a multitude of contributing factors that control the progression of the situation. But - in the chase for a high COVID death statistic - this common sense understanding has been completely ignored and everything blamed on the mighty virus.
More recent evidence shows hospitals in the US are actually paid for putting COVID-19 on the death certificates (archive) (MozArchive). Also, it seems flu deaths have almost completely disappeared (archive) (MozArchive) this year, just like that. Of course, it's because they've been reassigned to nCov. If you think that's bad, wait until you see how the United Kingdom counts its coronavirus deaths:
That's right! If you get tested positive, then fall of a ladder (archive) (MozArchive), you're a COVID death case. Example is from Croatia; I suspect they've done this kind of stuff everywhere, just only the UK government bothered to spill it. Finland (MozArchive) is another example of the same phenomenon in action:
It means that a whopping 14% of the reported covid deaths didn't actually have anything to do with covid after all.
Not only did they add deaths that were completely unrelated...
The average age for people who have died of covid in Finland is 85 years old. 85 years old. Can you guess what the average life expectancy is in Finland for the population as a whole? It is 82.
...But also, Finland confirmed what we already knew from the very early Italy data: that only the very old - or those with already severely compromised health (and usually both) - actually die from corona. The "pandemic" never had an evidential basis.
Hey, I have something even better. You can calculate your risk of dying from corona; I just did a test run of a young lean white guy with diabetes, coronary heart disease, liver cirrhosis and asthma. The results:
So - if someone with 4 chronic diseases can't manage to die from COVID (1 in 100 000 chance) - should you (a presumably healthy young person), worry? And remember, that this is based on the UK data; if you are in Africa, Belarus or any place with lower death rates - the risk will be even more laughable. Was there a point to any of the scaremongering? Was there a point to any of the restrictions, even if you believe they work (and they don't)? Also lol:
The QCovid tool may only be used in Great Britain by clinically trained professionals, for academic research and for the purpose of peer review.
How dare the plebs gain some knowledge without the approval from their masters.
Hey, let's compare COVID to other diseases. According to the WHO, 6,656,601 died from COVID up until now (December 24, 2022):
That's 3 years, and with fudged stats (but we will give the benefit of doubt to the scaremongers for now). On the other hand - in only one year (2020) - diabetes has killed more people (MozArchive):
The International Diabetes Federation reported 6.7 million deaths worldwide among adults with diabetes in 2021
If you extrapolated that, it would be 3 times more deaths than during the whole 3 years COVID has been around. And yet, have you ever heard the mainstream media "informing" you about how many people died a certain day from diabetes, all day every day? Of course you didn't, and just by this you should realize the "reporting" was meant to brainwash you. And remember that diabetes has been doing this kind of damage every year for decades, instead of only since 2020 like COVID - yet that isn't enough for the media to care, proving it's not about your health. How about cancer (MozArchive)?
Cancer is a leading cause of death worldwide, accounting for nearly 10 million deaths in 2020.
Again extrapolating, it would be 30 million in those 3 years of COVID, which is almost five times more. Of course, those diseases have been ignored during the "pandemic" because they could not be used to install any kind of restrictions (in fact, their sufferers have been left to rot with the denied doctor visits). Funnily enough, the WHO says this:
Around one-third of deaths from cancer are due to tobacco use, high body mass index, alcohol consumption, low fruit and vegetable intake, and lack of physical activity.
Now where was that during COVID? I don't remember hearing it from mainstream media - only scaremongering about "the number" and trying to imprison you in your house and inject venom into your arm. Of course, they could not have emphasized that lifestyle or environmental factors affect your COVID disease severity and death risk, because the destruction of freedom and the induction of mental changes was the point of the pandemic in the first place. And accomplishing the task would not have been possible if people believed they could actually do something aside from hiding like cockroaches under the fridge.
As we can see, the COVID gun is full of dummy bullets; it can only seem powerful by plagiarising the deaths caused by other viruses, diseases, pollution, age or really any cause. The so-called "elites" have masterfully ignored all those other issues just so they could throw around the COVID label everywhere and come up with as high of a number as possible (and they still coudn't beat diabetes, cancer or heart disease). The appearance of a pandemic was created by constant repetition of those numbers in the minds of people - even though many chronic diseases have had much more impact and for longer, and it is the chronic disease that makes you susceptible to COVID anyway. This is the way the broken gun was then used to shut down the world (which was the actual point, instead of your health). Okay, let's go for strike three against corona, which is its alleged extreme contagion:
What would you guess is the probability of catching the virus if you live with someone who already has it? According to the media hype, you'd think it's pretty much a certainty. And yet the WHO's report tells a different story:
preliminary studies ongoing in Guangdong estimate the secondary attack rate in households ranges from 3-10%
What about non-family specific close contacts?
As of 17 February, in Shenzhen City, among 2842 identified close contacts, 2842 (100%) were traced and 2240 (72%) have completed medical observation. Among the close contacts, 88 (2.8%) were found to be infected with COVID-19.
As of 17 February, in Sichuan Province, among 25493 identified close contacts, 25347 (99%) were traced and 23178 (91%) have completed medical observation. Among the close contacts, 0.9% were found to be infected with COVID-19.
As of 20 February, in Guangdong Province, among 9939 identified close contacts, 9939 (100%) were traced and 7765 (78%) have completed medical observation. Among the close contacts, 479 (4.8%) were found to be infected with COVID-19.
So, 38274 people - who were all in close contact with someone infected - were tested in three different locations, and the overall rate of contagion was a puny 3.1%. To better visualise this: imagine a corona-infected person shaking hands with 100 different people - only 3 of them will catch the virus. Of course, the types and durations of "close contacts" will be different, but you can expect the average contagion rate to be about 3%. For a practical example, check this (archive) (MozArchive).
Summarizing: 350 people were traveling from Wuhan to Toronto; one of them was positive for corona (confirmed through 2 different tests, each repeated twice). The flight lasted 15 hours, and despite there being 25 close contacts with the infected person, not one of them caught the virus. UPDATE: found another very well done study (archive) (MozArchive) which supports low contagion. What the authors did was trace the close contacts of the 100 corona-infected people, locked them up after the last time they've met up during the study period, and checked if they got sick. What were the results?
In this case-ascertained study of 100 cases of confirmed COVID-19 and 2761 close contacts, the overall secondary clinical attack rate was 0.7%
Amazing - the killer virus can't even muster enough strength to infect 1 person per 100. Anyway - for honesty's sake - the study mostly tested only the people who actually got symptoms. But if the killer virus is sitting in your body harmlessly, what's the problem? Shouldn't the point be to avoid disease instead of a label? However, they did test even some asymptomatic people:
For high-risk populations, including household and hospital contacts, RT-PCR was performed regardless of symptoms.
For family and household, the contagion rate was somewhat higher - about 5%. This is still 95 out of 100 people living together with a COVID-19 case who will avoid infection. What about some studies that appear to show higher rates? Let's check one out (archive) (MozArchive):
The secondary attack rate of SARS-CoV-2 in household is 16.3%
Oh no, 16%! I'm already hiding under my bed. This study measured only household infections, so it has no relevance to random outside "close contacts". Anyway, even the 16% isn't valid when you consider this gem:
The quarantined contacts who had symptoms were inspected at least 4 times by SARS-CoV-2 RT-PCR until their tests were positive.
Hahahahaha. So, the way they got this contagion rate is thanks to fraud. Literally - repeat the test until we get the results we want. Thanks for the admission. But how many journalists will pick this bit up? And how many studies just completely avoid mentioning such information? But I digress. Anyway, when a study is properly done (the previous one only had one test per person), COVID-19 fails to show an infectivity worth worrying about. Recall, also, that the virus does not spread by touching surfaces (archive) (MozArchive) despite what the authorities were scaring us with all this time. Now, to be quite honest, some studies found different results (archive) (MozArchive):
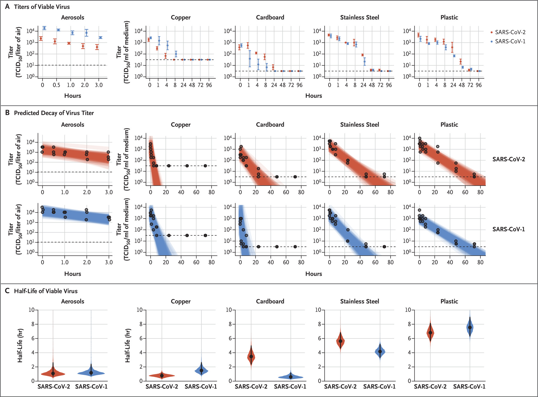
There are some problems with them though. First of all, they are done in experimental conditions - temperature and many other parameters are kept constant, which doesn't have much to with what happens in real life. Second, and maybe more damning to the narrative - is how the ability of COVID-19 to survive on surfaces - even if just in experimental conditions - isn't any higher than the previous SARS. And the old virus has only infected 8000 people (archive) (MozArchive) worldwide - and that's without a lockdown - so it's obvious that touching surfaces cannot be a route for the spread of COVID-19. As usual, the evidence allegedly proving the danger of corona ends up shooting the fearmongers in the foot, and confirming that the pandemic is fake.
Okay, so it's obvious they ran a scare campaign based on nonexistent, bad or fake data. Let's put the final nail in the coffin for the official narrative so we can move on to more important stuff:
Recently a claim is being spread (archive) (MozArchive) that Sweden has the highest COVID-19 death rate in the world because of their weak response to the pandemic. Let us analyze it and we'll see that - contrary to supporting the fearmongers policies - it totally destroys them. First, let's check out Sweden's restrictions (archive) (MozArchive):
primary schools remain open, borders are only partially closed, there are no compulsory quarantines or shutdowns of restaurants, bars, or public spaces
I'd say Sweden's response was much saner than the other countries'. After all, in most places coronavirus transmission simply doesn't happen (archive) (MozArchive). However, social distancing was still recommended and public gatherings of more than 50 people banned. What were the results? As of writing this (June 22), Sweden has 10 097 695 people living in it; 385 695 of them were tested for coronavirus. Of those tested, 56 043 (14.5%) came out positive. Belarus, on the other hand - has a population of 9 449 390. They tested 876 639 people for COVID-19 (more than twice the amount of Sweden) and 59 023 (6.7%) of those came out positive. So, very similar population size and yet Belarus has less than half coronavirus cases. Here's a worldometer screenshot so that no one claims I've made up the data:
Anyway - why is this significant? Because Belarus' response to the coronavirus was even weaker than Sweden's! They've pretty much completely ignored COVID-19 (archive) (MozArchive) - schools were closed only for two additional weeks, businesses stayed open, sports were still being played (AFAIK, the only country in the world to do so), and even a huge military parade was held (archive) (MozArchive) with most participants not wearing masks. If the rate of infection depended on the severity of lockdown, we would expect Belarus to rank way above Sweden - yet it's the opposite (again, less than half the cases). Comparing to some other countries - in Spain, 5.7% of people who get tested turn out to have the virus. Belgium - 5.5%; Netherlands - 9%; Switzerland - 6.1%; Germany - 4%; France - 8%; Turkey - 6.3%. So, Belarus (6.7%) is right in line with countries that have had huge lockdowns. Brazil is another funny example - 45% people tested have COVID-19 despite all the restrictions. Let that sink in - it's pretty much irrefutable evidence that the lockdowns were pointless and have nothing whatsoever to do with the amount of infections. Of course, this also kills any computer model which relied on the recommended measures being effective (e.g the Imperial College model). Though it's the amount of actual cases that matters more (since the lockdowns should have prevented contagion, but didn't) - the original claim was about death rates, so let's check those out:
According to the June 9 worldometer data (archive) (MozArchive) - Sweden's death rate is a little over 10% of all corona cases! This has been used by the media as proof (archive) (MozArchive) that it's their lax response which has caused the deaths. Let's bust that claim right open:
Similar to Italy - it's just old people yet again. I suspect a bunch of "co-morbidities" as well, but I don't think we have such great data proving that as from Italy. However, I managed to dig up an interesting quote (archive) (MozArchive):
Data includes deaths with a confirmed COVID-19 diagnosis where the cause of death isn't attributed to COVID-19.
And so, it is very likely that - as in Italy - all these old people are simply dying from the diseases they've already had. Comparing with Belarus (June 9 data cause I don't want to redo the calcs):
Can't make this up. 49,453 cases and only 276 deaths gives a death rate of 0.55 percent per coronavirus case. So, only one out of 200 infected people will die from it. I wonder how would the fearmongers squirm out of these damning statistics? They totally kill the "Sweden's lack of lockdown is causing all these deaths" theory. As well as all the models and predictions that have been provided. After all, pretty much every other country has implemented draconian measures to combat COVID-19 - and they still come out much higher than Belarus in the amount of casualties. E.g the UK has 14%, Spain 9.4%, Greece a little over 6%, etc (UPDATE November 2022: these percentages are obviously irrelevant now, they are all much lower [most countries under 2%, and even that is fudged by the fakery from the death section] - just in case someone is scared of those statistics). Funny how the country with the least restrictions also ends up with the smallest death percentage. UPDATE June 2022: I've checked this recently again, and it's still true. The countries with significant restrictions still had higher (but still low, and let's remember the fakery from the Death section) death rates according to stats, while Belarus with none had 0.6%. So the restrictions have been conclusively proven useless in terms of curbing the deaths. Of course, the stat that (again) matters more is the amount of actual cases - I suspect the high death rates are just propaganda claims. Think about it: why would the same virus suddenly kill twenty times more people that have it, just because it's another country? Maybe they get better treatment in certain places, but I doubt Belarus is the king in that department; and anyway, the difference should not be so huge. Or, those countries could simply have more deadly variants of coronavirus - but then, it would be a lie to consider all those together as a single COVID-19 and would also kill the narrative. The simplest and most likely explanation is that Belarus' stats show the maximum true death rate of corona when reported accurately - the other countries are simply faking it (see Italy again). On the other hand - as long as the tests being used have similar accuracy - the amount of cases should go down as restrictions go up. Yet that has been totally reversed in this comparison. This is such a big blow to the mainstream narrative that we could end the report right here. But of course there's much more to say, so let's dig further:
That's literally fake news - journalists went to those hospitals, and saw no one there (archive). For more, see here (archive) (MozArchive). Even the mainstream has eventually admitted (archive) (MozArchive) that the UK's Covid hospitals were pointless - England's seven original Nightingale hospitals built in 2020 cost the taxpayer more than £500million, which included running costs, stand-by costs and decommissioning costs. But they only treated a handful of patients
. Either way, it's not like hospitals being overcrowded has never happened before (archive) (MozArchive) regardless of COVID-19. It even seems that the hospitals are overloaded every year, so corona did nothing special as usual:
What we consider "healthy" is relative to the average health of the population, and quite far from the ideal described eg. in the book The Wheel of Health:
Let me give an illustration. A few years ago I attended a big medical meeting, such as are held annually in the Empire. I had come from a country of balanced poise and movement, and after I had listened a little to the learned experts and professors upon the subject of health I became more and more inattentive to their speech and more and more interested in their lack of physical balance. I found myself taking notes, not of the lectures, but of the lecturers. They showed a lack of spontaneously assumed poise when speaking. They would stand crooked, place a foot on a step, withdraw it again, twist their fingers, scratch their heads or eyebrows, twitch, or kink their mouths sideways.
Above is what a modern, civilized person would almost surely completely miss while judging someone's health. Yet the Hunza from The Wheel of Health did not have this issue (nor many other ones that we accept, like tiredness, digestive complaints, etc). Now consider that this has been written in 1938, and ask yourself how much the standard for "healthy" has fallen since then. Then you'll realize how "young healthy people" get (claimed by the media to be) brought down by COVID.
We have been accustomed to look from this lower state, and the level we see we call normal, though in reality it is low grade. It is not to be supposed, for instance, that any of the professors and experts whom I heard and watched speaking upon health regarded themselves as anything other than normal.
In the current world, this lower state
is the standard (archive) (MozArchive) - with heart attacks, diabetes, cancers and other issues appearing at young ages. Also, many chronic diseases develop without symptoms (archive) (MozArchive) until in advanced stage. I doubt the doctors have been subjecting all those COVID victims to a battery of tests which would have shown early heart disease, pre-diabetes, hormone abnormalities, low vitamin levels, etc. before labeling them "healthy".
That's not even considering the fact that the media is faking those claims (archive) (MozArchive) too. A healthy 16 year old woman dies - now how do we turn this into a coronavirus death? First test came out negative, second as well...finally, the third one was positive. There, we've got the young corona death we were looking for!
We really can't be sure just how dangerous COVID is compared to the others, because of the now obvious extreme overstating of the corona deaths and the erasure of the flu. Oh, and the fact that vaccine damage mimics a lot of the COVID symptoms.
First of all, various studies (archive) (MozArchive) show that most so-called COVID-19 cases are asymptomatic. So - just because you have corona - doesn't mean you're going to get any disease. The mainstream - also - admits COVID is really nothing special. The symptom listings (look at the table) for COVID and some other viruses are pretty much the same (archive) (MozArchive):
They all have similar symptoms, which makes the diagnosis of these infections challenging.
The only distinct sign of COVID is the taste and smell loss:
Furthermore, when a person has COVID-19, their sense of smell and taste is temporarily compromised. This is a distinct sign of COVID infection
Which also happens in lots of chronic disease (archive) (MozArchive), by the way. And from another source (archive) (MozArchive):
You cannot tell the difference between flu and COVID-19 by the symptoms alone because they have some of the same signs and symptoms.
They even tell you that only the old and the chronically sick are at risk for more serious symptoms:
Both COVID-19 and flu illness can result in severe illness and complications. Those at increased risk include:
Older adults
People with certain underlying medical conditions (including infants and children)
And serious symptoms are not even unique to COVID, either. So, mainstream sources are now on board with the conspiracy theorists, who've been saying since the beginning that the young and healthy are unaffected and there really isn't a "pandemic" worth a unique response. Please realize that we're surrounded by viruses and bacteria at all times and cannot avoid them. The "pandemic" was a magic trick in which you've been convinced that what's always been happening is new. Though I do believe a very small percentage of people get unique symptoms (hey - after all - COVID was still manufactured - so some unique properties are expected) - but again, those are the old and the already sick and could be helped by treatments that have been ignored by the mainstream. I'll let you figure out why that was.
These predictions are based on computer modeling which is simply software that runs a simulation based on the assumptions built into it. To make it work, you need to input the relevant real world data, such as how long the virus takes to infect someone else, the percentage of people that will be infected on average, the death rates, the possible measures and treatments taken, etc. If any one of those assumptions is wrong, the whole thing falls like a house of cards. For an analogy, take a platforming video game and double the player's jump height. You can now access areas you couldn't before, grab items you couldn't before, slay or jump over enemies you couldn't before. With just one small modification, the game balance goes out the window; the game is broken. And the exact same thing happens with computer modeling - a wrong assumption and the model becomes useless. Anyway, here's the infection data used for the Imperial College model (archive) (local):
And now what the real data turned out to be:
Clearly, we can see that they seriously overestimated the danger of corona. And that's just one assumption among a bunch of others that need to be on point for the model to mean anything. Biology is, of course, extremely complicated and we can't really know most of this with good enough accuracy. Here's something else the model says:
We predict that school and university closure will have an impact on the epidemic, under the assumption that children do transmit as much as adults, even if they rarely experience severe disease 12,16
We now know that asymptomatic spread pretty much doesn't happen (archive) (MozArchive), and kids just don't get sick with COVID (archive) (MozArchive). When applied to Sweden (archive) (MozArchive), the model turned out to be completely useless, as expected. And yet, the UK's lockdowns were based on this turd.
Everything in biology has variants (like people, dogs, trees, other viruses, etc). They have to, because that's how genetics work. It does not mean anything though unless you can prove that the variants are somehow special - but the mainstream never does that. Already in March 2020 (archive) (MozArchive) 40 COVID variants were found in Iceland and yet none of that materialized into anything relevant (Iceland has some of the lowest COVID death stats). But yet, focusing on yet another "variant" (and giving it a scary name like Kraken - archive - MozArchive) can keep the fear perpetual, which is the point. Even if there is no more danger than from any of the other coronas - Scientists haven't noticed a significant change in symptoms with XBB.1.5 but it is showing a "transmission advantage," said Otto
(is there any actual evidence of the transmission advantage
, like some studies showing increased contagion?). It's the same trick the so-called "elites" have tried to pull in 2020 with the UK variant.
About that, there was no way the fearmongers themselves could have known the new variant was any more infectious so fast. They have admitted that much themselves (archive) (MozArchive):
"We do not know the extent to which this is because of the new variant but no matter its cause we have to take swift and decisive action which unfortunately is absolutely essential to control this deadly disease while the vaccine is rolled out."
A study came out on December 23, alleging that the new variant is 56% more infectious (archive) (MozArchive). And yet the flights were banned earlier (archive) (MozArchive), so the swift and decisive action
was based on absolute zero evidence.
Around 60 countries have now banned or severely restricted arrivals from the UK
the total suspension of flights also affects essential journeys, business travel and other trips that were previously still allowed under UK and local restrictions.
The predictions of doom that the fearmongers were already making back then (archive) (MozArchive)...
Nevertheless, the increase in transmissibility is likely to lead to a large increase in incidence, with COVID-19 hospitalisations and deaths projected to reach higher levels in 2021 than were observed in 2020, even if regional tiered restrictions implemented before 19 December are maintained.
...Turned out to be bullshit (archive) (MozArchive), just as I suspected:
The mortality rate for deaths due to COVID-19 was significantly lower in 2021 than 2020 for both England (126.6 deaths per 100,000 people) [...]
The whole point of focusing on this irrelevant new variant was to spread fear, then increase the lockdowns and push vaccines. As with any other "variant of note".
The argument usually goes like: There were (insert amount) of excess deaths in the year 2020 compared to 2019. The coronavirus provides a perfect explanation. Checkmate, denier!
This is usually used in the context of the US (which has had 350K more deaths (archive) (MozArchive) in 2020 than expected), but also the UK and sometimes others. The argument sounds convincing on the surface, but falls apart upon closer examination. This is because it relies on the fraudulently counted death statistics which consider chronic disease deaths, flu deaths, old age deaths, or even unrelated deaths as coronavirus deaths. So, when you realize that, all you're left with is a bunch of unaccounted deaths for the year which could be from anything. What was the other common thing between the countries which have excess deaths? The coronavirus response, of course. We know that it increases suicides, poverty and decreases doctor visits for anything other than corona, so that could explain a part of it. Otherwise, it could be any other cause, including something new that we will only discover years later. The point is, we can't use corona as an explanation for the excess deaths when we know the stats have not been accurately collected. UPDATE: ha! The detailed data for most countries is now in - and as usual, it reveals yet another beautiful argument of the doomers as an empty husk. Look:
It turns out that the US is a pretty unique case where the amount of 2020 deaths was significantly higher than all the previous 20 years. The UK was similar, but even there you can see that the death rate isn't anything different than what they've had in 2000-2003. The other countries are not so forgiving towards the doomer argument. Israel's death rates, for example, have been pretty much the same for the last 12 years, and actually higher from 2000 to 2008. A similar pattern is found in Denmark, Estonia, and Norway. The mocked Sweden with their mild lockdown did in fact have an increase of deaths compared to the previous year, but it disappears when you look a few years prior, so it could be simply explained as natural variation. Yet another huge hope for the fearmongers has been dashed from right in front of their faces! France and the Netherlands also had some increases. But again, most countries took Covid on the chin (no significant spikes in death in 8 out of 12), so the focus should be on determining the factors that made the others fare worse. None of the people that made this argument cared to do that, though - being blinded by fearmongering propaganda.
You mean just like all these scientists (archive) (MozArchive)? This is just an age old tactic of defining your critics out of existence, so you can claim the monopoly on truth and policy. It's used all the time by vaccinators, global warming peddlers, neo-darwinists, drug pushers, and many other priests of the orthodoxy. But, there's no substance to it - it's just censorship / mob rule with a lipstick called science
. True science, by the way, proceeds precisely because it is challenged, not mindlessly worshipped!
Okay, so they lied about pretty much everything in regards to the novel coronavirus. But surely, it still exists. Wouldn't it be nice to know how it came about?
For the longest time, I have ignored and / or downplayed this theory for a few reasons. The evidence was not decisive at the beginning and I did not want to make a blunder. Focusing on the virus' origins can also easily be used to distract from the fact that it is still weak and that the restrictions are useless and vaccines harmful. However, enough good evidence came in that the lab origin can't be denied anymore. I must also admit that I have made a mistake in perception here, because if you think about it, everything is downstream from the virus' origins. So the issue is more important than I originally portrayed it.
The lab origin of COVID ties everything together. It explains why the so-called "elites" knew it was going to be a "coronavirus pandemic" during Event-201. It allowed them to plan everything in advance: all the restrictions, the media attack on alternative treatments, maybe bribing some scientists or threatening some politicians. And of course it gave them an excuse to launch immediate vaccine production, because they needed a virus that would cause some relevant symptoms at least sometimes - which COVID does (even if only in already compromised people). They could not have relied on unpredictable Nature to do what they wanted, at the time they wanted - so they did it themselves. After all, Nature could have created a virus from some completely different family, or one that is so weak that it wouldn't be noticed - which would destroy all their preparations. Now let's check out the evidence for the lab leak theory:
So, the virus was indeed created in a lab. There is no other way to explain all of the above. If even the fact checkers have run away with their tails under their legs, you know something's up (it's the first and last time I've seen something like this). You might be wondering why the mainstream media haven't censored this story. Well, two reasons: first, the evidence was just too strong and you can't bury something like this at that point. Second, the lab leak still helps the so-called "elites" achieve their goals if they convince you that COVID is a killer. Because, the tougher COVID seems, the more restrictions they have an excuse to implement (and the lab leak does make COVID look tough).
Of course, to attentive readers, none of this should provide a justification for the hysteria that was launched. Remember that we still have an immune system that can kill every single bacteria and virus in existence - including the mighty COVID-19 (archive) (MozArchive) or even salmonella (archive) (MozArchive). If this wasn't the case - and we required a vaccine for every new pathogen that might appear (and this happens all the time (archive) (MozArchive) - anyone who didn't get it would just die. We have survived on this Earth for millions of years, and for a lot of that time, there was no handwash, antibiotics, masks or stuff like that. Yet we're still here today, because our immune system is very effective at its job. However, civilization is full of toxic assaults that can weaken it - such as refined sugar (archive) (MozArchive), industrial seed oils (archive) (MozArchive), pesticides (archive) (MozArchive), EMFs (archive) (MozArchive) and psychological stress (archive) (MozArchive). That's why infections can be an issue in the first place. Fortunately, there exist ways to protect ourselves.
This theory is many decades old, but (for obvious reasons) enjoyed a resurrection during corona, being spread by people like Andrew Kaufman, Samantha Bailey and Thomas Cowan (plus their followers). So, this theory says that anytime someone sees what they think is a "virus", that what they see is actually generated by the cell itself in response to a "stress". What do those stresses consist of? I'll let the supporters themselves speak (archive) (MozArchive):
Along the way, Engelbrecht and Köhniein will analyze all possible causes of illness such as pharmaceuticals, lifestyle drugs, pesticides, heavy metals, pollution, stress and processed (and sometimes genetically modified) foods.
Of course all those things do contribute to disease, but the problem is that they do not explain most of what is attributed to viruses. Let's take shitty food, which is the basis for a lot of civilization's disease problems. It takes many years, or more likely decades, to incur a food-related disease problem such as diabetes or heart disease. And they develop slowly then - exactly the opposite of what viruses are alleged to do (sudden appearance and fast disappearance of symptoms). The same logic applies to heavy metals, pollution, stress and the drugs - which people usually deal with for years - so the severity of issues should follow the exposure time, as well. Stress and some drugs can cause sudden symptoms, but then you will know they came from there. Medical drug manuals always list them and well, everyone knows what stress does and it has only a few symptoms; it's insane to now blame everything on it. And the timing would be obvious in both of those cases. I guess chronic stress can cause serious disease if it persists undealt with for years - but again, the issues would keep increasing as the stress keeps going on - instead of being instant. It is really bad reasoning to blame an issue that suddenly appeared on something a person has dealt with for years without bad effect.
The blaming of every symptom that shows up on something generic without consideration of the specific scenarios reminds me of the way vaccine lovers blame clear vaccine symptoms on whatever happens to appear in their minds first. Climate change (archive) (MozArchive), gas prices (archive) (MozArchive), video games (archive) (MozArchive) ...everything to exonerate the vaccine. And the no virus theorists do the same to try and make viruses disappear. What do we do with symptoms that are clearly new? Such as the smell or taste loss from COVID - which do exist in chronic disease, too - but then again, they'd be developing slowly then, instead of instantly. And not all of the people that get them have been chronically sick. Some "no virus" supporters tried to blame it on 5G (archive) (MozArchive) - which is at least an attempt, and the timing would fit. But not every country has 5G (archive) (MozArchive), and yet they still suffer from COVID symptoms. UPDATE August 2024: this article is so terrible I just have to analyze it in more depth. So let's go:
It started as a dry cough. [...] But as the weekend wore on, I became more and more tired; worse, I was short of breath, with pain in my lungs. I also lost my sense of smell [...]
I fell into bed and slept for three days. Never had I felt such overwhelming fatigue. [...] Breathing was painful. But the worst symptom was a kind of depression, like a black cloud hovering over me [...]
So, the author lists some of the common corona symptoms. And also admits many of her friends had those too:
At a gathering I attended after my recovery, half the people I talked to said they had been sick and described similar symptoms: dry cough, loss of sense of smell, painful breathing and extreme fatigue. Some also had nausea and other gastrointestinal symptoms
And yet guess what she ends up blaming those on?
How do we contract Covid-19? In my case, I believe it was a trip taken the week before, with one-stop flights both going and coming—meaning lots of time in airports and a lot of exposure to highly saturated Wi-Fi, now installed in most airports, both large and small.
Hahaha. Why have people not been reporting these before 2019 then? Wi-Fi has been everywhere since a long time. And why did these symptoms happen in you and your friends so quickly, instead of gradually - like it would be expected if it was accumulated damage from years of exposure? Only a virus could possibly explain the immediate effects and the fast disappearance. Because, if it was Wi-Fi, cell phone radiation, etc. you'd expect the damage to persist and even keep getting worse - as you're always subjected to those things (the author admits this in Or it could just be overexposure to Wi-Fi in your own house
). Yet the fact that the symptoms appeared instantly and then disappeared in weeks, proves that they were brought by an invader who the immune system needed just that long to beat - and when it finally finished, it could then fix the damage, permanently. I know I'm beating the dead horse for the nth time, but this issue is really the center of this controversy. Accumulated damage from Wi-Fi, cellphones, foods, psychological stress, drugs = gradual increase in symptom severity. Microbe attack = sudden symptom appearance and disappearance. Blaming corona symptoms - assuming they were quick to appear - on anything other than a virus, makes no sense. Now look at this dumb thing that comes next:
Probably everyone will contract Covid at some point, and that may not be a bad thing.
Wow. How do you know? I know people that still haven't had it. And why would a disease be good? Anyway, after this, the article suggests quite a few nutritional strategies for combatting Covid, which are quite sane. Disgustingly though, they attack vitamin D supplementation - the strongest and most deficient immune supporter out there; they even bought the baseless mainstream narrative about vitamin D causing all kinds of issues:
Symptoms of vitamin D overdose include vomiting, nausea, poor appetite, excessive thirst, excessive urine production, loss of weight, abdominal pain, dehydration, constipation, diarrhea, itchy skin, severe headache, irritability and nervousness. Heart rhythm irregularities, increased risk of heart disease and high blood pressure as well as renal failure are also symptoms of vitamin D overdose.
This is what the novirus virus does to brains, I guess. Anyway, all her listed measures work because they support the immune system, and not the magical other mechanisms she is trying to propose (Zinc helps reactivate the central nervous system, which is depressed by exposure to 5G and intense Wi-Fi
). When you insist on denying something that is in front of your face, you are forced to come up with these kinds of convoluted explanations for its effects. It's like the liar who has to keep coming up with more lies to make his previous lies make sense. Yet the fortress of nonsense gets harder and harder to keep standing under the constant assaults of inconvenient information. Now check this quote, where the author basically demolishes the novirus fortress completely, but still refuses to admit it:
It would be foolish to think that once we have had Covid, we are immune from ever getting it again. We might be more resistant but never completely immune. [...]
Why would we even become more resistant
to corona at all if it wasn't a virus? Do the cellphone radiation and WiFi and bad foods and stress suddenly stop affecting us just because we've been dealing with them for a long time? This phenomenon is never seen in real disease - people always keep getting worse as long as they are subjected to the same assaults. Yet it is perfectly explained by the immune system saving information about the virus after encountering it for the first time, so that it can handle it more easily later. But even something this simple leaves the novirus people scratching their heads. By the way, though this is not that relevant, WAPF treatment of the Covid topic has made me suspicious of it as a reliable source for anything.
Of course, this doesn't mean that symptoms are never unjustly blamed on viruses, too; I mean, it's exactly what was done during the entirety of this scare. But dismissing the whole field of virology because of our insane mainstream media and a few high-up politicians isn't wise. So many things don't make sense without viruses like the thousands of studies that talk about the immune system, or herbs and nutrients killing viruses, or the ocean (archive) (MozArchive) and air (archive) (MozArchive) containing millions of them in one drop of seawater
and in each cubic meter of air
, respectively; or the existence of outbreaks, etc. The "no virus" supporters never provide any adequate explanations for all these things. It seems to me that those people are not really interested in understanding, just contrarianism and poking holes (e.g about isolation procedures) in mainstream theories. Which is fine and can be valuable but it's not enough; at some point you need to start providing real answers for things that happen, e.g people getting sick in the same household at the same time. All of their proposed explanations have been around since forever, so what it is that suddenly changed for the people losing their breaths, etc? Someone once messaged me trying to explain people getting sick with media fearmongering
, which is so funny in light of the fact that not everyone watches bullshit media. And have you heard of media fearmongering
causing those symptoms during any of the other times media has done so? E.g with climate change, "muslim terrorists" in France a decade ago or so, rising prices, now Putin, and whatever else. It's their bread and butter, yet we don't hear people going mass sick from it. Franky, it's insulting to tell someone who got e.g lung damage that "it's just fear, bro". I mean sure, fear can affect the disease response, but it doesn't do what the "no virus" people think it does - which is magically pull a bunch of new symptoms out of a hat. Just got to find any way to make viruses disappear, I guess?
This theory also lets so-called "elites" off the hook when they try to create deadly viruses against humanity in the virus labs (which it cannot even attempt to explain). Since the mainstream narrative about COVID was so seriously flawed from the beginning, the "no virus" theory came in like the superhero and provided a counter-narrative that pretty much required you to believe that nothing is real (like the flat Earth theory). This provided a way for the so-called "elites" to throw every skeptic of mainstream theories into the "insane" box, keeping people locked inside the mainstream mental prisons forever. Does it not seem like the "no virus" theory was brought back from its grave so that the virus research (archive) (MozArchive) continues on? Since if viruses don't exist, there's nothing harmful going on in those biolabs, surely. Another issue with this theory is that it prevents people from finding proper treatments for their ailments. After all, how is a sick person helped by someone telling them that what caused their sickness does not exist, but they can't tell them any replacement except banalities that don't actually explain anything? Leaving them to rot with their sickness, confused and with no treatment in sight.
Do you not see how none of the "pandemic" measures could have worked without an actual virus? You need at least some people having some (new) symptoms somewhere to justify "fighting COVID". How would you accomplish anything with a complete fake? People would eventually figure it out if they saw absolutely no one get sick. The "pandemic" was a triple punch of COVID creation, media embellishment, and finally the implementation of restrictions. In the end, I don't think the "no virus" theory is right and it distracts us from the truth that's behind door three - viruses exist, but they're being portrayed as monsters so that we're scared into submission and accept violating restrictions. When in reality there are simple treatments like nutritious diets and sun exposure that have been completely ignored by the mainstream. Indeed, there is actually no contradiction between germ theory and terrain theory; germs exist and can sometimes cause harmful effects, while the terrain is your body and can be improved by having adequate nutrition, exercise, good mentality, sometimes loading up on herbal medicine, etc. As I said before, anytime someone gets sick, there is an interplay between many factors - outside and inside the body (including the germs in this case). But this has all been forgotten and people being tribal divided themselves into camps, as usual - camps easy to pick off for the so-called "elites". Look at how the no virus people compiled a "naughty list" (archive) (MozArchive) of dissenters against restrictions that still realize viruses exist. Oh yes, that's what's going to help us during the next lockdown or vaccine push.
First, let me state who do I mean by the authorities
. Most importantly, the so-called World Health Organization (archive) which has spread "guidance" over how to handle the fake pandemic (archive) (MozArchive) and is the source of most of the recommendations and restrictions which countries over the world have taken up. Also the European Centre for Disease Prevention and Control (archive) (MozArchive), which is just an EU-specific WHO. Then come the governments themselves who chose to implement those measures after all. Nutrition organizations that spread fake info to prevent people from healing themselves. The media that has scared everyone into submission could go in here, too. So, do they have our best interests in mind? If it wasn't obvious already - fuck no. Let me remind you of when the WHO tried to erase natural immunity from existence:
Bet that fills you with confidence, doesn't it? They've also made this malicious claim that is very telling:
Not yet. To date, there is no vaccine and no specific antiviral medicines against COVID-19. However, people, particularly those with serious illness, may need to be hospitalized so that they can receive life-saving treatment for complications.. Most patients recover thanks to such carePossible vaccines and some specific drug treatments are currently under investigation. They are being tested through clinical trials. WHO is coordinating efforts to develop vaccines and medicines to prevent and treat COVID-19.
The most effective ways to protect yourself and others against COVID-19 are to:
- Clean your hands frequently and thoroughly
- Avoid touching your eyes, mouth and nose
- Cover your cough with the bend of elbow or tissue. If a tissue is used, discard it immediately and wash your hands.
- Maintain a distance of at least 1 metre (3 feet) from others.
So they claim there is no cure for COVID-19. Surely, with 7000 experts
working on there, they should know a thing or two about the immune system and how it kills microbes all the time. Some people have claimed that COVID-19 magically bypasses the immune system - here's a direct disproof (archive) (MozArchive). And, there are things we can do to support it (which actually have evidence for their effectiveness) that the WHO and other pseudo-authorities completely fail to mention. On the other hand, they recommend measures that are at best unproven and at worst harmful:
nonessential businesseshas resulted in massive unemployment. In this study (archive) (MozArchive), 59% of the participants lost their jobs due to the fake pandemic, which has contributed to their mental problems:
Nearly two-thirds of participants (64 percent) reported feeling down, depressed, or hopeless; three-quarters reported being anxious, nervous, or on edge; and just over two-thirds (67 percent) reported having little interest or pleasure in doing things.
For instance, Rapaport said that Masbia saw a 500 percent increase in demand over the past few months.
“We have done disasters before, but nothing is even close to what we are doing now,”
Rapaport fears that these efforts are still not enough to calm the rumbling stomachs of thousands of New Yorkers.
From the selected studies there was evidence that children and young people who are lonely might be as much as three times more likely to develop depression in the future, and that the impact of loneliness on mental health outcomes like depressive symptoms could last for years.
The number of deaths from any cause among the 1,951,905 children in Sweden (as of December 31, 2019) who were 1 to 16 years of age was 65 during the pre–Covid-19 period of November 2019 through February 2020 and 69 during 4 months of exposure to Covid-19 (March through June 2020)
No more deaths of children during COVID than earlier. But wait, there's more:
From March through June 2020, a total of 15 children with Covid-19 (including those with MIS-C) were admitted to an ICU [...] No child with Covid-19 died.
Almost two million schoolchildren, and No child with Covid-19 died
. But wait! They can still infect the teachers, so lock them up, right? Wrong:
Data from the Public Health Agency of Sweden (published report5 and personal communication) showed that fewer than 10 preschool teachers and 20 schoolteachers in Sweden received intensive care for Covid-19 up until June 30, 2020 (20 per 103,596 schoolteachers, which is equal to 19 per 100,000). As compared with other occupations (excluding health care workers), this corresponded to sex- and age-adjusted relative risks of 1.10 (95% confidence interval [CI], 0.49 to 2.49) among preschool teachers and 0.43 (95% CI, 0.28 to 0.68) among schoolteachers
No more serious COVID cases in teachers than in any other occupations. This makes sense when you consider that asymptomatic people can't spread the infection, and kids just don't get sick from COVID (despite the media coming up with fake stories trying to prove otherwise).
Residents eat meals in their rooms, have activities and social gatherings cancelled, family visits curtailed or eliminated. Sometimes they are in isolation in their small rooms for days.
“She, almost overnight, went from a very active lifestyle to a very limited life, and they had, very early on, a complete two week confinement just to her room,” Tory said.
During those two weeks, since she couldn’t exercise by walking to the library or doing her own shopping, Russell would stand up and sit down, again and again in her room, counting the times, her daughter said.
“I do want to underscore the fact that she wanted medical assistance in dying at some point,” her daughter stressed. “And she had told her family doctor that, but the application was hastened by the impact of the lockdown measures.
On Oct. 20, Nancy Russell died with her loved ones by her side, honouring her wish for a death on her own terms.
The worst month was March, the one where lockdowns began. This can only be due to the COVID-19 response, because what else has changed that could explain such a big difference? And we know that e.g social isolation fucks with you psychologically, or even the feeling of fear and helplessness that the media keeps "installing" into people via TV propaganda.
Follow-up t tests showed that the peri-COVID group reported more severe symptoms of anxiety (t 161 = 3.15, p , .001; Cohen’s d = 0.49), depression (t 161 = 1.92, p = .029; d = 0.30), and internalizing problems
we found that adolescents assessed during the pandemic have neuroanatomical features that are more typical of individuals who are older or who experienced significant adversity in childhood
If this was tested on poorer people, the results would have been even worse:
We should note that our sample is of relatively high socio- economic status and represents the racial/ethnic composition of the San Francisco Bay Area [...] the psychosocial and health consequences of the pandemic have been more severe among individuals from socially marginalized groups [e.g., lower socioeconomic status
As strictness of pandemic prevention measures and social restrictions increased, people’s feelings of loneliness increased and mental health and life satisfaction decreased. As restrictions were relaxed, loneliness decreased and general mental health improved.
Basically, the mental destruction rises proportionately to the severity of lockdown. Also, the damage accumulates with additional lockdowns, meaning some of it is permanent:
However, the rate of recovery after the first lockdown was much more rapid than after the second lockdown. Moreover, self-reported mental health levels were as low during the third lockdown as during the second lockdown, despite the less stringent COVID-19 prevention measures and the lower self-reported levels of loneliness.
There are more studies showing the same, I don't care to analyze them all. This is one of the best as it tracks mental destruction throughout the entire "pandemic".
The Quebec coroner is investigating the death of a homeless Innu man whose body was discovered in a portable toilet in the Plateau Sunday morning.
André had spent part of Saturday night at The Open Door, said executive director Mélodie Racine. The Montreal drop-in centre is just steps away from where the body was found.
Racine said André couldn't stay because the health authority had forced the shelter to close at 9:30 p.m. following an outbreak of COVID-19. It used to be open 24/7.
Basically a homeless guy was told to GTFO of the homeless shelter, and froze to death outside. Oh and...
Tessier said André "wanted to stay" and they would have let him, had they been allowed.
The curse of this world beautifully contained in one sentence. "I really really wanted to help this gentleman, but my masters pointed a finger at me and screamed "not allowed!", so I very very sadly had to let him die!". Stop being a CUCK and learn to break the slave pact (that you didn't sign and had no participation in its creation) called "muh law".
All desks have been removed. Students will kneel on gardening pads and use chairs as their desks for 5.5 hours.
As if school wasn't bad enough already, they just had to pile on more cruelty into the place.
The results of the pulmonary function tests are shown in Table 2. Both sm and ffpm significantly reduce the dynamic lung parameters. The average reduction of FVC was −8.8 ± 6.0% with sm and −12.6 ± 6.5% with ffpm. FEV1 was −7.6 ± 5.0% lower with sm and −13.0 ± 9.0% with ffpm compared to no mask. The peak flow measurement showed that both sm and ffpm significantly reduced the PEF (−9.7 ± 11.2% and −21.3 ± 12.4%, respectively).
FVC
- forced vital capacity; FEV1
- forced expiratory volume in one second (these two parameters decrease if you have lung disease); SM
- surgical mask; FFPM
- N95 mask.
The measurements show that surgical masks, and to a greater extent FFP2/N95 masks, reduce the maximum power. P max (Watt) depends on energy consumption and the maximum oxygen uptake (VO 2max). The effect of the masks was most pronounced on VO 2max. Since the cardiac output was similar between the conditions, the reduction of P max was primarily driven by the observed reduction of the arterio-venous oxygen content (avDO2). Therefore, the primary effect of the face masks on physical performance in healthy individuals is driven by the reduction of pulmonary function.
Low peak expiratory flow is very harmful (MozArchive) to people with any kind of breathing problems:
If your PEF drops below 80% of your personal best, follow your asthma action plan and check PEF more frequently that day or as directed by your doctor. Seek immediate help before your asthma symptoms worsen.
Some people who are forced to wear face masks all day in the workplace complain of headaches, shortness of breath and anxiety,” CBS DFW reported, detailing the experiences of employees of the Southern Sisters Salon in McKinney, Texas, who have been wearing masks for months.
This reddit thread (archive) (MozArchive) contains more experiences of people's problems with masks, which include: acne, runny nose, difficulty breathing, swelling, glasses fogging up and psychological / social issues.
Virus cultures were negative for all asymptomatic positive and repositive cases, indicating no ‘viable virus’ in positive cases detected in this study … The 300 asymptomatic positive persons aged from 10 to 89 years …
This means that, overall, just one in eight (13%) of those who wear washable, reusable face masks are actually maintaining them in a way that is helpful to stopping the spread of coronavirus.
Recall, also, that government mandates don't specify the kind of mask you're supposed to wear; and from my experience - most people are wearing useless ones they've made from an old pair of pants or something like that (and also not covering their noses).
Those challenges remain, but masks bring new barriers: in addition to blocking lip movements and facial expressions (which are so important when hearing is marginal), masks muffle the high frequency portions of sound that are essential to speech.
Lip reading makes up about half of my ability to understand what someone is saying. So once the face is covered it becomes really difficult to understand what is being said to me. I’m a big supporter of masks but I’m feeling pretty nervous about any unpredictable interactions I’m going to have now.
So much for caring about the disabled by the politicians and their SJW minions.
Emily Stevenson, a marine biologist widely known as the “Beach Guardian,” recently went to collect litter from a beach in Cornwall, along England’s southwestern coast, and found no less than 171 pieces of discarded PPE only in the span of one hour – a shocking rise from the six PPE items she had found on a previous beach cleanup.
“We’ve already found evidence of PPE actually sinking below the ocean surface,” Stevenson said, according to The Independent. “This means that there could be a totally unaccounted for concentration of PPE pollution on the seafloor, which can remain as dormant debris for centuries.” “Once on the seafloor, it smothers any biological structures such as important Sea Fan beds in the UK, or coral reefs further afield,” she continued. “Also, this debris entails a ‘plasticizing’ effect when on the seafloor – potentially inhibiting gas exchange between the water column and sediment.”
Social distance supporters themselves admit (archive) (MozArchive) that the distance isn't correlated with the amount of COVID-19 infections:
Have the countries with two-metre rules seen lower infection rates? It doesn’t look like it
For example Denmark, which has a one-metre social distancing policy, currently has death toll of over 600 in total.
Meanwhile the UK, which had a two-metre rule, currently has the third highest death rate in the world, behind the US and Brazil, with more than 40,000 deaths.
There is some evidence droplets can travel much farther than 2m, for example 6.5m (archive) (MozArchive) or even 7-8m (archive) (MozArchive) depending on various factors. These aren't very high quality studies, to be honest, but then again - we don't have that kind of evidence for most of the claims that the authorities make about corona. Breathing doesn't generate many droplets at all, so the only real risk is from coughing or sneezing; and it just so happens these overcome the recommended distance anyway, which makes the restrictions pointless.
Argentina is trying to solve a medical mystery after 57 sailors were infected with COVID-19 after 35 days at sea, despite the entire crew testing negative before leaving port.
However, all of the crew members had undergone 14 days of mandatory quarantine at a hotel in the city of Ushuaia. Prior to that, they had negative results, the ministry said in a statement.
So, 14 days of quarantine, and 35 days later, almost all the sailors randomly get sick with COVID-19. This means either that the virus can stick around in people for far longer than 14 days and reinfect them later, or that the infections here were artifacts of unreliable testing. Either way, doesn't this make quarantines seem completely stupid?
When we took samples from door handles, phones or toilets it has not been possible to cultivate the virus in the laboratory on the basis of these swabs….
The gels and sprays — which became a mainstay during the Covid outbreak — were found to contain dangerous levels of benzene, a carcinogen at the very top of the Government's most dangerous solvent list.
When rubbed onto the hands, even in relatively small doses, benzene can seep through the skin and into the blood stream where it can stop cells working correctly. It is known to cause leukemia and other blood disorders.
Overexposure to benzene can also cause bone marrow not to produce enough red blood cells, which can lead to anemia, as well as blood cancer.
It can also wreak havoc on the immune system by altering blood levels of antibodies and killing off white blood cells.
Last year an independent lab found nearly one in five hand sanitizers may contain benzene. Valisure tested 260 bottles of hand sanitizer from 168 brands for the carcinogen that were bought in pharmacies across the US.
Various cancers, anemia, and destruction of the immune system. Great! The funny thing is, the whole issue apparently exists only because the government lifted the limits for the toxic benzene in hand sanitizer products:
The agency also brought in a temporary legal limit of up to two ppm of benzene permitted in the products to help speed up production - amid fears over a national shortage.
One neighbour of mine died as a COVID-19 collateral damage. He was on dialysis waiting for a kidney transplant and he didn't get it in time due to everything getting delayed because of the fuking 'flu'. He was 34.
FACT: Vitamin and mineral supplements cannot cure COVID-19
Micronutrients, such as vitamins D and C and zinc, are critical for a well-functioning immune system and play a vital role in promoting health and nutritional well-being. There is currently no guidance on the use of micronutrient supplements as a treatment of COVID-19.
Click here to see this "fact" conclusively refuted and expose the WHO as the enemy of your health!
So, late October, Emily Oster (archive) (MozArchive) - a journalist for The Atlantic - wrote an article (archive) (MozArchive) calling for an "amnesty" for the COVID criminals that have been destroying the world for almost 3 years now. It uses the standard we just didn't know
argument to forgive and forget the criminals:
Our cloth masks made out of old bandanas wouldn’t have done anything, anyway. But the thing is: We didn’t know.
But most errors were made by people who were working in earnest for the good of society.
And surely, we did not know some things - but we did know a lot. And that "a lot" exposes the malicious intent behind the COVID response. Let's give some examples:
Duheme also reportedly said that in addition to freezing the 206 financial products, authorities disclosed the information of 56 entities associated with vehicles, individuals and companies, exposed 253 bitcoin addresses from virtual currency exchangers, and froze a payment processing account valued at $3.8 million? Is that another good intention?
But of course, Emily considers none of this, but only the few small points where the we just didn't know
argument appears to fit. I am not sure if she is a malicious actor, since she did speak out against some of the restrictions. But that's all for nothing if you don't have the full picture. She still shills for the vaccines, thinking it matters which type of poison you get:
When the vaccines came out, we lacked definitive data on the relative efficacies of the Johnson & Johnson shot versus the mRNA options from Pfizer and Moderna. The mRNA vaccines have won out. But at the time, many people in public health were either neutral or expressed a J&J preference. This misstep wasn’t nefarious. It was the result of uncertainty.
Why not mention the fact that the Pfizer trial was a total sham on purpose? Again, the COVID vaccines can only seem like a good idea to someone that hasn't read a lot. Any other drug would have been taken off the market long ago with so much damage done. That the vaccines still remain, shows malice on part of the so-called "elites".
Frankly, this article makes me really angry, because it is a totally indefensible attempt to save the so-called "elites" from consequences. We need to expect some quality from our decision makers, just like we expect it from the bridge builders. If a bridge builder was creating ones that were collapsing when a few people walked on them, he'd soon be out of job. But the people currently at the top (who caused immeasurably worse harm than the hypothetical bridge builder) did not suffer the slightest inconvenience - or even got rewarded. Such as the executives of the vaccine companies, or the politicians who installed restrictions, or even the hospitals who got paid for putting patients on the harmful ventilators. If a person can just do whatever they want once they get a high position, we are totally fucked! And the COVID situation is the perfect opportunity to fix that, but no one cares. Exactly because articles like Emily's muddy the waters. It seems that some people just cannot accept that the so-called "elites" of this world could be so extremely evil, so they make up nonsensical stuff about their lack of knowledge. But just because most prefer their comfortable life of walking in the dark, doesn't mean we have to give up doing what's right. Force the so-called "elites" to admit their wrongdoings live on TV and replace them with people who are actually not psychopaths.
But to be honest, this problem has been going on for a long time now. Our society is designed around hierarchy, where the higher ups can do whatever they want to and the people under them have to take it - with no ability to affect it, usually. That's the primary thing that has to change for anything to get better, IMO. Without pressure from your underlings, why even think about the effects of your decisions? Why even care? You do your tasks, and you go home with money that will put food on the table. This applies everywhere, and gets off the hook nurses that inject the COVID poisons, police that abuses a homeless person, and really anyone that hurts someone in whatever way. There is a fundamental problem here that most people don't appear to be seeing. What I'm getting at is: plebs have to stand up sometime if they see a higher-up doing something harmful.
Many dissidents (or would-be ones) died (usually in suspicious circumstances) during the course of the "pandemic" or right before it. Let us explore their untimely demises:
Kary Mullis - as mentioned before - invented the PCR test (archive) (MozArchive). He was also clear on the fact that it cannot be used to diagnose disease (archive) (MozArchive) - and it was used exactly for that during the "pandemic". He had a history of criticizing various mainstream narratives - such as the ones about climate change or HIV / AIDS (archive) (MozArchive) - and surely would not have let slide the COVID one, especially when the misuse of his invention was at the center of it. Unfortunately, he won't get to say anything as he died from pneumonia (archive) (MozArchive) in August 2019, right before the "pandemic" started. The fearmongers could not have pushed the "pandemic" through if Kary was alive when it began. Therefore he had to be eliminated, and pneumonia can be induced by drugs (archive) (MozArchive).
The president of Haiti, who refused the donation (archive) (MozArchive) of 756 000 vials of AstraZeneca's COVID non-vaccine in April 2021, and was killed 3 months later (archive) (MozArchive):
“An unidentified group of individuals, some of whom were speaking in Spanish, attacked the private residence of the President of the Republic and mortally wounded him,”
A week after the killing, his country received (archive) (MozArchive) a "gift" of 500 000 vials of the poison. This situation is unique in that we have clear proof that he was actually murdered. Totally unrelated to his rejection of the vaccines though, I'm sure.
Tanzania's president, who has exposed PCR tests (archive) (MozArchive) as unreliable:
The president said he had instructed Tanzanian security forces to check the quality of the kits. They had randomly obtained several non-human samples, including from a pawpaw, a goat and a sheep, but had assigned them human names and ages.
Samples from the pawpaw and the goat tested positive for COVID-19, the president said, adding this meant it was likely that some people were being tested positive when in fact they were not infected by the coronavirus.
He did not like (archive) (MozArchive) lockdowns or vaccines:
Magufuli in a speech Wednesday scorned the idea of a lockdown to prevent the coronavirus from spreading and poured doubt on the effectiveness of vaccines.
He went missing (archive) (MozArchive) on February 27, 2021:
Magufuli, a 61-year-old leader nicknamed "The Bulldozer," was last seen in public on Feb. 27 looking his normal self as he swore in a new chief secretary at State House in Tanzania's commercial capital Dar es Salaam.
He finally died (archive) (MozArchive) on March 17:
“Dear Tanzanians, it is sad to announce that today 17 March 2021 around 6 p.m. we lost our brave leader, President John Magufuli who died from heart disease at Mzena hospital in Dar es Salaam where he was getting treatment," the vice president said on state broadcaster TBC.
This was just a little over a month after The Guardian called (archive) (MozArchive) to rein in
the president. But remember that he has gone missing
(likely captured) much earlier - less than 3 weeks after the unfortunate article.
The new president predictably did a 180 (archive) (MozArchive) in terms of the COVID response:
On April 6, President Samia announced the formation of the committee with a strong emphasis on fighting the pandemic through scientific methods.
President Samia has always stressing on the need to wear face masks in all public gatherings.
She - of course - took up the vaccines, as well:
After she received a report from the Committee among the major changes announced include granting permission to embassies and international institutions in Tanzania to import Covid-19 vaccines for their people and employees.
Burundi's president died (archive) (MozArchive) from a heart attack on June 8, 2020:
Mr. Nkurunziza, 55, had shown no sign of illness until he was admitted to hospital in the town of Karuzi on Saturday. After appearing to recover on Sunday, his health worsened “to very great surprise” on Monday and he could not be revived, despite several hours of effort, a government statement said.
Recovering, then suddenly getting worse and dying. Nothing suspicious here /s. He didn't care to have any kind of COVID restrictions:
Burundi was one of the few countries worldwide that refused to ban sports events or take other restrictive measures. It also allowed mass campaign rallies of tens of thousands of people during the election campaign last month. Face masks were rarely seen.
And kicked out "experts" from the WHO:
Four experts from the World Health Organization, who had reportedly questioned the government’s response to the pandemic, were expelled from Burundi last month.
Not even a month later, the new president did a 180 (archive) (MozArchive) about COVID (of course):
While swearing in his new cabinet on 30 June, President Ndayishimiye declared the pandemic would be “the biggest enemy of Burundians.”
Funnily enough, Burundi still has only 38 COVID deaths (archive) (MozArchive) (December 2022). Truly the biggest enemy, this COVID. Despite the extremely low COVID death rate in Burundi, Western media jumped (archive) (MozArchive) to claim that Nkurunziza was one of the few people to have died from COVID (it would mean he was literally the first COVID death there (MozArchive) - how likely is that?!).
6 people (including 3 foreigners) tried to kill (archive) (MozArchive) Madagascar's president on July 23, 2021 - but failed. In April 2020, he had launched (archive) (MozArchive) a herbal remedy for COVID - which the WHO promptly shat on (archive) (MozArchive):
In response to the launch of Covid-Organics, the WHO said, in a statement sent to the BBC, that the global organisation did not recommend "self-medication with any medicines... as a prevention or cure for Covid-19".
As you can see, the WHO hates the idea of you being your own doctor - you just got to take the jab and stay home. This could provide context for why Andry was targeted later. And hey, guess which (archive) (MozArchive) remedy turned out better?
Several extracts as well as Covid-Organics inhibited SARS-CoV-2 and FCoV infection at concentrations that did not affect cell viability.
Another study (archive) (MozArchive):
Hot-water leaf extracts based on artemisinin, total flavonoids, or dry leaf mass showed antiviral activity with IC50 values of 0.1-8.7 μM, 0.01-0.14 μg, and 23.4-57.4 μg, respectively.
Even if Covid-Organics did nothing (which is contradicted by the above studies), it would still be better than the WHO's measures which are actually negative - while the herbal remedy isn't going to hurt you. Maybe that's why Rajoelina received an assassination attempt - he dared to stick his head out, and try to do something on his own, instead of bowing down to his NWO masters.
And so, we have 3 cases (plus one almost-case) of presidents who heavily disagreed with the WHO / NWO prescription for the "pandemic" and died during it. Those who died were promptly replaced by pro-WHO / NWO ones. Why did none of this happen to all the cucked European / Asian / USA presidents that went full speed into the restrictions? That's the question that has to be answered by anyone who wants to "fact check" this pattern into a coincidence. The probabilities here are insane when you consider the amount of countries and the fact that only the people who went against restrictions were hurt. Then check the particulars, like one of the presidents dying after being sure to recover (hospitals are a favorite assassination place for the psychopaths running this world, and two out of four attempts happened in those). Erasing Mullis additionally gave the so-called "elites" the head-start needed for preparing the "pandemic". That all of this just somehow happened, is impossible for me, taking everything into account.
Early on in the "pandemic", there were 115 vaccine candidates (archive) (MozArchive). Our favorite Billy Gates somehow knew that the newly developed mRNA vaccines will take the center stage:
That’s why I’m particularly excited by two new approaches that some of the candidates are taking: RNA and DNA vaccines.
What makes those different is that - instead of a weakened virus - they give your body direct genetic instructions to execute:
Here’s how an RNA vaccine works: rather than injecting a pathogen’s antigen into your body, you instead give the body the genetic code needed to produce that antigen itself.
This is the first time such a technology has been used to vaccinate humans:
Since COVID would be the first RNA vaccine out of the gate
What were the results? Is it safe and effective
like we've been told? Let's check it out:
So I was reading the Pfizer clinical trial to learn about the effectiveness of their vaccine. They've divided 36523 people into two roughly equally sized groups - one gets the vaccine, the other not. In the no-vaccine group, 162 people ended up getting COVID, while in vaccine group only 8. They portrayed it as a 95% effectiveness, but the way they've calculated it is 162 / 8 (results 20) then 100 / 20 (results 5). So the vaccine group had 5% of the amount of sick people as the no vaccine group. But these results are kind of meaningless without considering the actual amount people that got sick. In the no vaccine group, 0.88% of the test participants got COVID, compared to 0.04% in the vaccine group. The difference isn't so impressive now, is it? You have only less than 1% of a chance to contract COVID regardless of whether you took the vaccine or not. But how did they actually determine if you have COVID, anyway?
So all you needed to be considered "infected" was one symptom (even something like muscle pain, which could be from anything including the vaccine or the water injection) plus a positive nucleic acid amplification-based
test (sounds like PCR, without mentioning the cycles used that would determine its accuracy). Doesn't seem very reliable, I'd make it at least three symptoms plus a PCR test with a relevant amount of cycles that is actually stated instead of hidden. I suspect the amount of actual COVID-19 cases is much less than displayed, because of the lax criteria. And since most of them are in the no-vaccine group, the biggest decrease would be there, and the vaccine's reported effectiveness would go down a lot.
UPDATE November 2022: turns out the situation is worse than I thought. The trial was a total sham (archive) (MozArchive), not even being able to test all the participants for COVID:
In several cases Ventavia lacked enough employees to swab all trial participants who reported covid-like symptoms, to test for infection.
How hard would it be to just "accidentally" not test the vaccinated so that the effectiveness of the vaccine artificially went up? The patients were also unblinded:
Another showed vaccine packaging materials with trial participants’ identification numbers written on them left out in the open, potentially unblinding participants.
This means some of them could have known they are taking the vaccine, and then the placebo effect could have worked, again bringing the vaccine effectiveness artificially up. Data could have also been directly falsified:
a Ventavia executive identified three site staff members with whom to “Go over e-diary issue/falsifying data, etc.” One of them was “verbally counseled for changing data and not noting late entry,”
One of the whistleblowers says said that she has never seen such a terrible clinical trial as the Pfizer one:
“I’ve never had to do what they were asking me to do, ever,” she told The BMJ. “It just seemed like something a little different from normal—the things that were allowed and expected.”
So, it's likely that the Pfizer vaccine effectiveness is a total mirage, and it really doesn't do anything except cause a bunch of side effects.
For example, Senegal - where only 6% of people took a COVID vaccine - had a COVID death rate of 12.1 people per 100000 (or 0.0121%). Nigeria with 10% jab rate had an even lesser death rate - just 0.0016%. Cameroon - 4% vaccination rate, 0.0075% COVID deaths. Algeria - 15% / 0.016%. Syria - 10% / 0.0185%. Chad - 12% / 0.0012%. You can pretty much pick any of the really low vaccinated countries and find a low COVID death rate, too. On the other hand, the country with the highest COVID death rate (Peru at 0.657%) had 83% of its inhabitants take the shot. Why did the jabs not save it? Why are really highly vaccinated European countries (such as Italy or Spain) rotting with COVID death rates of 0.2796% and 0.2296% (over 10 times higher than the low vaccinated ones)? Hungary - the fourth highest country in terms of COVID deaths - had 64% of its inhabitants take the shot; and yet that didn't save them. Looking further down, Serbia or Ukraine have twice less deaths with much lower jab rates. At the very least, this data shows that even avoiding the vaccine almost completely does not doom a country - and taking a lot of shots does not protect it, either. But there might actually be a correlation between higher vaccination rates and higher COVID deaths.
Natural immunity is almost 7 times stronger (archive) (MozArchive) than vaccine-induced immunity - so if you've already had COVID, it seems pointless to take the vaccine. It has also been proven (archive) (MozArchive) that the vaccinated are more likely to spread the so-called Delta COVID variant than the unvaccinated:
We observed low Ct values (<25) in 212 of 310 fully vaccinated (68%; Figure 1A) and 246 of 389 (63%) unvaccinated individuals. Testing a subset of low-Ct samples revealed infectious SARS-CoV-2 in 15 of 17 specimens (88%) from unvaccinated individuals and 37 of 39 (95%) from vaccinated people
The Delta variant is the most common one in the UK (archive) (MozArchive) and the US (archive) (MozArchive). And if the vaccine doesn't even work for preventing infection or transmission (by that variant), then the only reason to take it is for decreasing the severity of symptoms. UPDATE: the Pfizer CEO has also admitted (archive) (MozArchive) that two doses of his vaccine (what has until recently been considered "fully vaccinated") do not work against Omicron. In that case, the unvaccinated are in the exact same position as the vaccinated, except without the risk of side effects from the vaccine.
UPDATE January 2023: hey, we have yet another (MozArchive) study showing natural immunity is stronger:
During follow-up, 7123 SARS-CoV-2 infections were recorded in the BNT162b2-vaccinated cohort and 3583 reinfections were recorded in the matched natural infection cohort. 4282 SARS-CoV-2 infections were recorded in the mRNA-1273-vaccinated cohort and 2301 reinfections were recorded in the matched natural infection cohort.
Two times less infections in the natural immunity group than the vaccine group. And not even less hospitalization to save the jab receivers:
The overall adjusted HR for severe (acute care hospitalisations), critical (intensive care unit hospitalisations), or fatal COVID-19 cases was 0·24 (0·08–0·72) after previous natural infection versus BNT162b2 vaccination, and 0·24 (0·05–1·19) after previous natural infection versus mRNA-1273 vaccination.
Annoyingly, the authors just had to include the standard pro-vax disclaimer:
Vaccination remains the safest and most optimal tool for protecting against infection and COVID-19-related hospitalisation and death, irrespective of previous infection status.
Ha-ha. Do the journals really not let them publish without it? Sad state of science. Anyway - if the vaccine is not effective
- let's see if it's safe
:
Before the "pandemic" we've got about 50K reports of vaccine side effects per year - of all the vaccines used that year in the US. During the 2018-19 flu season, 49% (archive) (MozArchive) of the US population decided to take the vaccine. This is about 165M million, very close to the 177M of people fully vaccinated for COVID. Now check this out:
The COVID vaccines are over ten times more likely to cause side effects than all the other vaccines from previous years put together. More than 90% of COVID vaccines used in the US are Pfizer and Moderna - both using the newly developed mRNA technology - so they are the ones mostly responsible for the increased side effects. For the 2018-19 season (before corona) I'm taking into account flu vaccine doses ONLY - because I wasn't able to find the data for any others. If I did, it would increase the taken doses, decrease the percentage of side effects (since the amount of VAERS reports is already determined), and tip the scale against the COVID vaccines even more. Fact checkers - such as here (archive) (MozArchive) and here (archive) (MozArchive) - try to deny the results of VAERS by saying that anyone can submit a report and that they just show signals
, etc. UPDATE June 2023: I still see shills on Twitter (archive) (MozArchive) making this non-argument, so let me give a more thorough reply. Do you really think that, since the introduction of COVID vaccines, there suddenly became ten times (or more) the amount of trolls willing to submit fake VAERS reports? Look at the VAERS submission form for yourself and see how much data is required; it probably takes an hour or so to fill. There might be a few people willing to do that for the lulz, but there are much much more effective ways to troll; so this surely doesn't explain the millions of reports, and refutes people like this (archive):
There is also this:
Warning: Knowingly filing a false VAERS report with the intent to mislead the Department of Health and Human Services is a violation of Federal law (18 U.S. Code § 1001) punishable by fine and imprisonment.
So again, there can't be that many trolls willing to push through regardless. But! Maybe these reports aren't trolling. Maybe people really believe they are having a vaccine reaction, but are simply mistaken? Even if the effect came a few days or hours following the vaccine? Still - even if all those people are simply wrong - it is then appropriate to ask from where such a massive increase of reports is coming from? We have removed trolling as a possibility, so what's causing a ten times (or probably more now) increase in reports right after the introduction of the COVID vaccines? What other thing happened at the same time? I don't see anything. You could say COVID, but then you still have to explain the timing relation to receiving the vaccines. The only way to do that is to say that vaccines make COVID infections worse, which wouldn't exonerate them, either way.
The logic of the shills - though - is "if it COULD be conceivably unrelated to the vaccines, then it MUST be unrelated! Because we've got to protect our elixirs at all costs!". So even if they can't find a reason, they will keep repeating the attacks on VAERS. Sorry, but that just isn't good logic. Science or argumentation doesn't work by rejecting positions apriori. Doing that - in fact - is a sign of cowardice ("anything! anything but our beloved elixirs, please!"). Or again, someone could simply be a true shill, hired to protect or push a product. The logical people - if the obvious explanation is clearly that the increased VAERS reports are related to real increases of vaccine side effects - will go with it; especially if none other is even proposed. There is also another way to show that the additional side effects are really from the vaccines instead of "fraudulent reports" or some other "fact checker" imagination. Look:
The higher the amount of vaccines given in an USA state, the more injury reports. The states with the least vaccinated people have almost no reports. An almost perfect correlation.
The situation is even worse for the fact checkers and shills than it seems, though. Studies have estimated that VAERS underreports side effects by anywhere from 90% (archive) (MozArchive) to 99% or more (archive) (MozArchive). With 90% underestimation, the almost 600K people harmed by the vaccines jumps to 5 400 000 (out of 177 million fully vaccinated against COVID). With 99% underestimation that would be almost 60 million - and the true figure is probably somewhere in the middle. So, the shills were right, in a way - VAERS isn't perfectly reliable. But it's actually the lack of reports - and not fake reports - that's the issue. And that leaves the vaccines in an even worse position than if you simply took VAERS at face value. Also remember that all of this is early data; I wrote this long ago and the figures are surely a lot worse now.
But if you hate VAERS so much, consider that the CDC (for the purposes of corona) also invented a new side effect tracking system called V-Safe, that's probably more reliable - you don't have to fill out a whole huge report (like for VAERS), just periodically get asked a few questions through your smartphone. Let's see what are its results:
Astonishing. One out of four people injected with these concoctions (both doses, as recommended by "the experts") will experience joint pain during 7 days after taking the vaccine. Almost half of the lab rats patients will have a headache, more than half fatigue. And 30% fever; what corona allegedly causes is also done by the vaccine. Only problem with V-Safe is how a regular person can't traverse the database in order to find associations. All we can do is rely on scientists that have written papers based on the data, and there aren't a lot of them. But this single one (archive) (MozArchive) is revealing enough.
The amount of US people fully vaccinated for COVID is 177 million. VAERS reports 91696 cases of fatigue among the COVID vaccinated - that's 0.05%. The percentage of patients with fatigue reported by V-Safe is 54. To reach that kind of percentage with VAERS, you'd have to assume an underestimation rate of more than 1000 times. Meaning that less than 0.1% of side effects get reported through VAERS. The same kind of calculation for headache gives 0.07% reported by VAERS and 46.7 by V-Safe, an underestimation by 667 times. So let's assume, to be generous to the vaccinators, that the underestimation is only 500 times - 0.2% of events being reported. Applying that to death, VAERS reports 7414 such cases related to the COVID vaccines. Multiplying by 500 gives us 3 million 707 thousand people killed by the vaccine in the US. If we instead consider the more conservative estimate of 90% underestimation (the first study), then the amount of deaths is "only" 74140. But if we take V-Safe's results at face value, and assume that the same underestimation rate applies to all side effects (this might not be true - after all, you'd think deaths would be more easily detected and reported) - then we end up with a COVID vaccine murder count of almost 4 million people.
UPDATE November 2022: hey, no wonder they've decided to use scientists to gatekeep the actual V-Safe data. Because this recently dropped (archive) (MozArchive):
Among numerous alarming results, out of the approximate 10 million individuals that registered and submitted data to v-safe, 782,913 individuals, or over 7.7% of v-safe users, had a health event requiring medical attention, emergency room intervention, and/or hospitalization.
Over 25% or 250,000, had an event that required them to miss school or work and/or prevented normal activities.
Unfortunately (for the vaccinators) the legal system has worked in our favor for once and the data is out of the bag. Too bad the website is Cloudflared and I can't actually check it out, but oh well. Either way, the Safe and Effective
narrative has absorbed yet another blow; the referee has sounded the bell, the fight is over: the vaccine has been declared a poison.
Just in case you thought they are only mild, and won't bother you anyway:
His initial laboratory results showed serum glucose level of 1253 mg/dL(normal is about 100, 300+ requires medical intervention).
and 90 days after the first inoculation, serum creatinine levels were significantly higher than those before vaccination, resulting in reduced eGFR. Let's consider the fact that the study lasted for only 90 days, so the damage likely persists much longer. And after this much time you'd already be going for your booster, redoing the damage - making your disease effectively permanent.
Laboratory results reflected severe myocardial damage,
and his heart rate was 30 beats per minute with third AVB(these are two different cases). 40-70% death rate. Enjoy.
The patient was found to be profoundly hypoxic with an arterial partial pressure of oxygen of 80 mmHg on 100% oxygen, tidal volume of 420 mL, respiratory rate of 30 breaths per minute, and positive end-expiratory pressure (PEEP) of 10 cm water,
but he could not be weaned off the ventilator, leading to tracheostomy and percutaneous endoscopic gastrostomy placement. So, dude ended up with a pipe in his neck and yet they called it a
favorable recovery. What a joke.
We report a 78-year old woman who was presented with tetraparesis, paresthesias of bilateral upper extremities, and urinary retention of one-day duration,
Spine magnetic resonance imaging showed longitudinally extensive transverse myelitis (TM) from the C1 to the T3 spinal cord segment.
On arrival, she began to vomit blood, fell into a coma and her heart stopped. The symptoms took twenty minutes to appear, and the next day the young woman wasn't with us anymore. RIP.
he tested positive for SARS-CoV-2 before he died. Second, the vaccine does not prevent serious COVID symptoms -
Our patient now presented with fever and respiratory discomfort, and lung auscultation displayed crackles. Third, the vaccine caused additional symptoms that don't get caused by COVID itself. Fourth, the symptoms came in before he had a positive COVID test, so we know they came from the vaccine and not from COVID. He already had kidney failure at day 18 and only got infected by COVID at day 25. Oh and finally, one dose is enough to cause those issues. RIP. Another victim of the failed medical experiment.
Review of the liver biopsy showed acute active hepatitis: widespread areas of bridging necrosis, marked interface hepatitis, lymphoplasmatic inflammation including eosinophils, ballooned hepatocytes, multi-nucleated giant cells, and emperipolesis.
This occurred in a well man with no other medical problems. The onset of jaundice associated with the mRNA vaccine was unusually rapid.
Karla Cecilia Perez was left partially paralyzed in her arms and legs mere hours after receiving the Pfizer/BioNTech jab on December 30 [...] She experienced a number of seizures in addition to skin rash, weakness, and breathing difficulties all within half an hour of receiving the vaccine. She has since been preliminarily diagnosed with encephalomyelitis (inflammation of the brain and spinal cord).
An elderly man in Crete stopped breathing in the waiting area of a hospital after he received the COVID-19 vaccination.
According to initial estimates by doctors, his death is not related to the vaccination, nor is it due to an allergic anaphylactic shock(lol!). This has to be the speedrun world record for a vaccine death. And the record level of shame reached by medicine, by denying this obvious murder.
First of all, consider the fact that Pfizer has excluded pregnant women from their vaccine study:
Now why would they do that other than a suspicion that the vaccine is in fact harmful to pregnant women? Yet that didn't stop the "fact checkers" (archive) (MozArchive) and the governments from claiming that the vaccine is safe for pregnant women, despite having no specific tests. Another reason to suspect the vaccine attacks the reproductive system is the fact the ovaries are a major mRNA accumulation point (in rats, since it wasn't tested in humans):
When the US government (archive) (MozArchive) attempted to prove that the vaccines are safe for pregnant women, they had to resort to fraud (archive) (MozArchive). Look:
V-safe pregnancy registry participants who received at least one dose of an mRNA COVID-19 vaccine preconception or prior to 20 weeks’ gestation and who did not report a pregnancy loss before 6 completed weeks’ gestation were included in this analysis to assess the cumulative risk of SAB using Life Table methods.
What this means is they've arbitrarily excluded the women who've had their miscarriages happen before week 6. Which just so happens to be the week when miscarriages stop happening (archive) (MozArchive):
Weeks 3–4
Implantation usually occurs around 3 weeks after a person’s last period and about a week after ovulation. By week 4, they may be able to get a positive result on a home pregnancy test.
As many as 50–75% of pregnancies end before getting a positive result on a pregnancy test. Most people will never know that they were pregnant, though some may suspect that they were because of pregnancy loss symptoms.
Week 5
The rate of miscarriage at this point varies significantly. One 2013 study found that the overall chance of losing a pregnancy after week 5 is 21.3%.
Weeks 6–7
The same study suggested that after week 6, the rate of loss drops to 5%. In most cases, it is possible to detect a heartbeat on an ultrasound around week 6.
The rate of miscarriages is 50-75% in week 3 and 4, 21% in week 5, 5% in week 6 and even less later. And the study only considered women who miscarried week 6 or later. So, the "researchers" eliminated the women who could actually get miscarriages, which then allowed them to claim that the vaccine does not cause them. It would be like, if I wanted to prove that people can't jump, I would only include the obese in my study, who actually can't jump. The honest way to do the study would be to include all the weeks - but they couldn't have done that because it would show that the vaccine DOES in fact induce miscarriages. An admitted fraud, right in the methods.
Oh, by the way, we now have proof (MozArchive) that the vaccine attacks the male reproductive system, too. Repetitive measurements revealed −15.4% sperm concentration decrease on T2 (CI -25.5%–3.9%, p = 0.01) leading to total motile count 22.1% reduction (CI -35% - -6.6%, p = 0.007) compared to T0.
. The people reporting the results have of course begun with the standard lip service for the vaccine: The development of covid-19 vaccinations represents a notable scientific achievement
. Hahaha. By the way, I've read the paper itself and (as usual) the abstract as well as the media reporting are fraudulent. The situation is much worse than it seems - look:
T3 are the results 150+ days after taking the shot, and they still show a Total Motile Count
drop of 19.4%, and Sperm concentration
drop of 15.9% compared to the baseline (before vaccination). Comparing T2 to T3 shows that the sperm concentration still keeps falling at month 6 after the shot - while the abstract claims that T3 evaluation demonstrated overall recovery.
of sperm functionality. Science is in on the fraud, my friends. The vast majority of people will only read the abstract, and trust the assurances of fact checkers (archive) (MozArchive) - which repeat the same recovery
lie - so the fraud works very well. Let me reiterate, the month 6 sperm functionality is lower than the month 3 one. This likely means that the damage is forever. After all, wouldn't the functionality have come back after five months if it was supposed to? A bone break heals long before that, for example. But the data shows the sperm parameters are still getting worse at that point.
Let's check out some definitions. From the encyclopedia Britannica (archive) (MozArchive):
Vaccine, suspension of weakened, killed, or fragmented microorganisms or toxins or of antibodies or lymphocytes that is administered primarily to prevent disease.
Now from some medical organizations (archive) (MozArchive):
Vaccines are products that protect people against many diseases that can be very dangerous and even deadly. Different than most medicines that treat or cure diseases, vaccines prevent you from getting sick with the disease in the first place.
And another (archive) (MozArchive):
Vaccines are the most effective way to prevent infectious diseases.
And another (archive) (MozArchive):
A vaccine is a type of medicine that trains the body’s immune system so that it can fight a disease it has not come into contact with before. Vaccines are designed to prevent disease, rather than treat a disease once you have caught it.
And from a reputable dictionary (archive) (MozArchive):
a preparation introduced into the body to prevent a disease by causing the body to produce antibodies against it, usually a weakened substance containing the virus causing the disease against which the body can react.
Okay, that's enough. We can see from all of them that prevention is the name of the game. But does the COVID vaccine prevent getting COVID? No (archive) (MozArchive):
The COVID-19 vaccine does not prevent COVID-19. A person who is fully vaccinated can still contract the SARS-CoV-2 virus, which causes COVID-19, and may go on to develop the disease.
And another confirmation (archive) (MozArchive):
People who are fully vaccinated can get breakthrough infections and spread the virus to others.
Now let's compare to other vaccines, such as the tetanus one (archive) (MozArchive):
Tetanus vaccines can completely prevent tetanus
And rabies (archive) (MozArchive):
Rabies is a 100% vaccine-preventable disease
Okay, that's enough. According to mainstream sources, a vaccine is defined by being able to prevent the disease it is given for. And - again - according to mainstream sources, the COVID vaccine does not do that while all the others do. So it clearly shouldn't be called a vaccine. What should we call it? How about an arbitrary code execution exploit, but for humans? Since that's what the mRNA vaccines literally are. Funnily enough, they started changing the definition of the word "vaccine" on some sites to protect the COVID genetic therapies. Let's look at the pre-COVID Cambridge Dictionary definition (MozArchive):
a substance containing a virus or bacterium in a form that is not harmful, given to a person or animal to prevent them from getting the disease that the virus or bacterium causes:
And the new one (archive) (MozArchive):
a substance that is put into the body of a person or animal to protect them from a disease by causing them to produce antibodies (=proteins that fight diseases):
Prevention emphasized in the old one and changed to protection
in the new one. We were always at war with Eurasia.
There we go, a conclusive proof that the vaccine does not protect against dying from COVID. The double-vaxed die at a very similar rate to the unvaxed (please take the respective population sizes into account while comparing), and the boosted fare even worse. Hey, since they gave up on the vaccine preventing infection and transmission, wasn't it supposed to at least make us not go to the hospital and obviously not die? But it doesn't even do that and taking multiple boosters actually makes you more than 3 times susceptible to a COVID death than a single booster, and six times more than being unvaccinated. Thanks to redditor iResistDe4iAm (archive) (MozArchive) for compiling the data.
Now, this theory has already been around 2-3 years ago, but (IMO) did not have that great of evidence back then, and I did not want to make a blunder and mislead my readers by falling for a dud or controlled opposition. Those giant white blood clots shown in movies like Died Suddenly did intrigue me for sure, but I wasn't prepared to make the jump to them being the result of self-assembling invaders (which just seemed too "magical" to me), when the mRNA alone seemed to explain them well enough. And well, graphene having been found in some samples just didn't seem like anything else but contamination back then. This all changes today, as I just found this extremely well done study (local) from July 2024, which examined the pseudo-vaccines and leaves no doubt that artificial microscopic invaders are indeed contained in them. In this study, their behavior has also been explored in a way that hasn't been done before. The paper is very long (but worth reading in full), so I'll just focus on the most relevant parts here. For example, how this crap is found inside all the commonly used COVID non-vaccines:
Inside the Pfizer vaccines, there were 3~4 x 106 such entities per millilitre
. And they were activated by conditions of the body - When the Pfizer samples were incubated at body temperature for up to 2 days, they showed more development, seemed to become active as if responding to a command to change into various other forms
. Based researchers bringing conspiracy theories into scientific journals :D. Gotta love it. But I think they are actually valid, as will be shown even more conclusively later. Now let's see what happens when you let these invaders develop in a culture of distilled water and / or salt water:
Are they building a weapons facility there, or what? Anyway, there are many more pictures in this paper with perhaps even more insane structures, but I don't want to put them all here (read the paper). One of them was described by the authors like this:
[...] Transparent wire-like bundles of hollow tubes appeared floating on the surface of the medium just as skin extract 2 (E2) appeared and changed to a tripod-like tipped filament (like the form of an anchor for connection to a neuron) or curled striated ribbons shedding bubbles.[...]
Great. More conspiracy woo-woo in my sacred scientific journals. Fire the authors immediately! Actually, give them a medal for not being cowards, scared to describe what the structures look like to them. They also checked what happens when you add the vaxes to blood:
[...] However, quite significantly, floating filaments or hose- or pipe-like structures began progressively emerging during the late stage of observational studies at 131 ~ 146 days incubation. Especially evident were dark pipe-like and lasso-like structures in the Moderna sample incubated in plasma samples 1 and 2. These structures appeared together with ordinary filaments, but not in the Pfizer culture dishes.[...]
So, Pfizer appears safer when added to blood than Moderna. It still results in structures but less complicated ones. And there are variations between people's susceptibility (of course). Here is what happens when you put Moderna into the blood taken from one of the more susceptible people:
The researchers also discovered that body temperature speeds up the development of these structures by 14-21 times: Culture dishes were placed directly on a heat template set at 36.5 degrees Celsius overnight. The next morning assembled nanostructures were observed floating over the surface of the medium in more discernible and developed shapes than before the heat (warming) exposure. Two to three weeks were needed for the growth of structures at room temperature (15~20 ℃) whereas one evening was needed for the same growth at body temperature (Figure 22)
. This should be expected if the structures are supposed to develop in a human body.
Another test was to see what happens to the structures under 5G influence - The culture dishes were placed on the cellular phone, set in the 5G streaming mode, over the wireless recharger for about 1~2 hours
. And guess what: Even after 1 hour of exposure to the wireless recharger with a cellular phone in operational mode, Moderna showed noticeable immediate changes. The floating materials abruptly became larger and more numerous with sharper and more rectangular edges (Figure 23). In contrast, Pfizer showed no immediate response but, instead, after one month of exposure exhibited a delayed effect, a moderate proliferation of floating filaments as seen in Figure 24
. Funnily, radiation from a hard drive partially destroys the structures: Significantly, replacing the same Pfizer culture dish (Day 101) over the wireless recharger for only two hours of exposure returned the structures, partially, to their original sharper-edged and clearer forms (shown in the culture from Day 101). In other words, the diverse structures reassembled yet again in similar shapes to those before exposure to the external hard drive. See Figure 25 for details
. Only for them to come back after 5G exposure again. This seems to provide some weight to the early 5G conspiracy theories, but with an unexpected twist.
Many more issues have been covered in the paper, such as the effects of the vaccines on the sperm cells (which I have already covered years ago), and possible ways of detoxification - but again, I wanted to only focus on what I thought was the most important. If you want everything, you can always read the paper. And besides, I still wanted to bring up the most spicy stuff - which is at the end of the study - before you got bored. Brace yourself:
Since the WHO’s declaration of a global pandemic on March 11, 2020, government-funded violations of civil and human rights — disguised as medical remediation of the pandemic — were actually leading to injurious and even lethal oppression in nations around the world. Since scientific pursuits necessarily presuppose open dialogue, critical thinking, and the rigorous testing of truth claims, we suspected, like many other researchers, that the program to address a global medical emergency was significantly more complicated than had been signaled. An additional motivation for this study, therefore, was the development of a comprehensive view of the WHO declaration that triggered the relentless push for total global compliance with “health” authorities.
Based conspiracy theorists turned into scientific researchers, took over the journals and shat on the "pandemic" there. It's so funny, you just can't help but laugh, but also be amazed. Or maybe it's their work in science that turned them into the conspiracy theorists, but the former sounds more exciting.
According to Dhuli et al. (2023), using mass spectrometry methods to analyze serum in the blood of “long COVID” patients, both viral spike protein and injectable spike protein were found together during analysis. This discovery means that “long COVID” could be correlated with both the long- lasting viral spike as well as injectable-induced spike protein.
Long COVID might actually be long vaccine for most.
Having concluded various experiments and careful observational studies, we infer that the materials and their observed stages of development are not natural. They are synthetic, and elemental seeming to govern a well-programmed process of structural self-assembly. That their provisional final production could be described as artificial has already been suggested in the numerous articles referenced so far.
Pre-emptively debunking all "contamination", "natural crystals", and similar arguments.
Sasha Latypova, an executive and researcher for the pharmaceutical industry, discovered an extreme deviation in side effects among the batch-to-batch vials of mRNA COVID-19 injectables. In a normal world, this sort of wildly uneven deviation would be intolerable in ordinary pharmaceutical products receiving routine oversight by regulatory bodies adhering strictly to established protocols and safety guidelines. Nevertheless, as the public has been reminded continually, we are living in a “new normal”. How, therefore, might we understand more generally this obvious deviation from the old normal? One way is to consider intentionality. These products were meant to serve foremost as experimental injections for the whole of humanity — including all ethnicities, sexes, and age groups.
This depiction squares with the FDA approval letter of the Comirnaty (Pfizer product; FDA, 2021), the post-marketing requirement, in infants under 6 months of age, the study completion of July 31, 2024, and the final report which is to be submitted by October 31, 2024. Worth nothing is that in the accompanying documents for the injectable products all details referring to the factories where they were manufactured were conspicuously redacted, which begs larger questions about secrecy undermining informed consent.
Sounds like something I would be reading on a conspiracy theory website 3 years ago. They really don't mince words, and I can't help but repeat myself about how much I love it. Finally, I can read a scientific paper in which the authors don't pretend to be robots.
Our culture studies revealed that the Pfizer products in simple distilled water produced a variety of transparent ribbons, thin film-like membranes, coils, and spirals even without exposure to special supplements or ambient energy sources. These patterns of growth and appearance in the culture media could not be explained apart from mechanisms of action peculiar to nanotechnology
Once again refuting attempts at dismissal.
Various kinds of transparent ribbons, films, coils, and spirals appeared in the Pfizer sample incubated in distilled water. These were very similar in structure to the micro- and magnetic- nanorobots already presented in numerous scholarly papers (Zhou et al., 2021). These structures, according to numerous researchers, could serve as signal conductors, biosensors, switches, and/or electronics devices needed for the transhumanist movement toward a post-human society
[...] since the rollout of the “injectables” show a suspiciously high correlation. The perversions we have described suggest a clear correspondence to the communications infrastructure now appearing under construction in the long-planned well-funded Internet of Bodies, the IoB (Celik et al., 2022), a kind of synthetic global central nervous system [...]
Where am I? On Infowars? NaturalNews? The Covid Blog? No, it's an actual scientific journal. I love these speculations, but have to admit they have not been proven. Yet, I also can't imagine what else these structures would be for, if not some kind of remote control of human bodies. We might receive our proof sooner than it seems, once the so-called "elites" start to turn the mechanisms on.
We echo the calls of other researchers engaged in similar studies: until the components can be verified and their long-term effects understood, a necessity flouted by calls for Emergency Use Authorization, an immediate global ban is needed.
Yeah. Ban the non-vaccine, but it won't happen unless the so-called "elites" are kicked out of power positions, because the legal system is under their control.
Let me state this again, I just love this paper. It might be the most amazing scientific publication I've seen, and I've read hundreds. Despite the language of a conspiracy enthusiast in it (they even put "vaccine" in quotes, whenever they refer to it, lol!) - the methods, control groups, length of study, and its scope are all on point. I rarely see a study as good as this in terms of quality. I mean, I often have questions after finishing a study, such as "why was this or that not tracked", "why no pure control group", "why was the dosage so little", "why not run it a little longer" and I do not have those here. The only sad thing is that they weren't able to "reverse engineer" the point of the structures, but I guess that is bordering on impossible at this moment.
UPDATE: I see that this paper has already been "fact checked" by the usual suspects. So let's see (archive) (MozArchive) if there is anything fatal to this paper in there (spoiler: not even a little bit):
Under Author Biographies, the paper described Dr. Young Mi Lee, an obstetrician and gynecologist in South Korea, as "an expert in stereomicroscopy and in the microbiology of incubated COVID-19 injectables, especially, Pfizer and Moderna." Daniel Broudy, an applied linguistics professor at Okinawa Christian University in Japan, had no cited medical expertise.
What expertise
did you want? Running the microscope, with a sprinkle of analytical thinking, should be enough. Anyway, the "fact-checkers" recruited an infectious disease expert
to comment on the study, and he said this:
The paper ... should be a case study on how to spot disinformation. The content is scientific gibberish with no basis in actual biology or the scientific method. It is relatively amateurish gibberish, to be honest, that a reasonable person with a high-school level biology education should be able to easily debunk. ...
Then debunk it. So far you have only buried it with adjectives.
The methods and results sections are extensive, reflecting a common practice in disinformation and propaganda to overwhelm readers with a large volume of sciency-sounding prose. But, as I mentioned, the overall quality is amateurish. It's not every day you see crayon drawings in a science journal.
Extensive methods and results are somehow a negative according to this expert
. Also "I have a phobia against crayons, so your paper sucks". Anyway, they brought in a second expert. Let's see what he has to say:
This is an article that is written in a rather somewhat informal fashion, in a not-very-prominent journal. If this were truly a revolutionary finding validated by others, who would be referees, who are molecular virologists, for example ... I think it would be published in a mainstream journal. So I'm very skeptical.
Informal is better than fake "professionalism" while we're in danger of being turned into remote-controlled toys for the psychopathic so-called "elites". And it's exactly the opposite of what you say. These people surely went to the not-very-prominent
journal because the mainstream ones would reject their paper. Molecular virologists
are welcome to verify the findings independently, but I doubt they will.
And of course, the Food and Drug Administration and other comparable agencies in other countries have not been able to ... determine that so-called 'nanobots' are in either persons or vaccines related to these mRNA vaccines.
Because they are all compromised. And the nanobots won't be seen unless people's blood is taken and put under these stereo microscopes. Like it was in this study. And I'm pretty sure those institutions are not doing that.
The experimental design (I use this term lightly) discussed in the paper is not scientifically sound, and is honestly bizarre.
Materials they described being used in their 'experiments' included beer, soju (a Korean distilled spirit), semen, and a cordless cell phone charger. I am not making that up.
While that sounds like a crazy night in Seoul, it doesn't really sound like good science. Because it isn't.
And this is where I know for sure this expert
is malicious. Most of the study tests how the non-vaccines act when put into distilled water or salt water. And since the authors did that adequately, this expert
has no comments on the protocol there. The beer, soju, and semen are only relevant to the section about toxicity to sperm cells (AKA not the one where they check the structures formed by the vax in distilled water). The charger and the phone are simply used to check how 5G affects the structures, and are adequate to use for that purpose. This criticism is pure propaganda. Then, they put up an assurance from Pfizer that there is nothing to see here - There are no nanobots in Pfizer-BioNTech's COVID-19 vaccine
. No shit they won't expose their own crimes. In the end, the fact-checkers did not even attempt to explain the structures and have completely embarrassed themselves yet another time.
This is all old news at this point, but today I remembered a funny way they tried to get people to take the snake venom, so I decided to catalogue them all:
Electric scooters, cars and direct money prizes that you could win if you got fully vaccinated
during the few months the lottery was running. The full amount of money dedicated to this scam was 21 989 280 zlotys, or about four and a half million euros / US dollars. Oh well, doesn't come close to the amount blown on tanks for Zelensky. Still a disgrace. And the ads for this were all over Polish buses, etc.
From today (7 July), unvaccinated Londoners of the city will be able to enter an online draw for the prized tickets by completing a form on www.london.gov.uk. To be eligible, all participants must be residents of the city and prove that their have either booked their appointment for the first dose, or gotten their first vaccine between 6 and 8 July.
It is funny how this campaign was directed specifically at the unvaccinated; if you cucked earlier, you were ineligible. Shilling the vax to others doubled your chances to win:
Participants who post on social media about getting jabbed or booking an appointment will be entered into the competition twice.
Of course, the Englishmen went for this in hopes England would be in the final, which hadn't been determined yet at that point. Fortunately, they won the semifinal against Denmark; it would have been quite funny though if they didn't and the vax enjoyers won a ticket for a final they didn't care about. Well, it was still quite the disappointment for them considering England lost the final (archive) (MozArchive).
OLYMPIA, WA: In an effort to support COVID-19 vaccinations, the Liquor and Cannabis Board (LCB) today announced that it would provide a temporary allowance to state licensed cannabis retailers to provide one joint to adult consumers who receive a vaccination at an in-store vaccination clinic.
It is funny that a single drug fix would be enough to get people to poison themselves. Does it really work?
Mmmm...vaccination!
I felt so much second hand embarrassment for that politician when he did that! Really treating people like animals, employing the Pavlovian conditioning to associate taking the poison with good taste. At the end, they added in tickets for some kinda concert. But I guess the burger was the main attraction.
Starting today, guests who show a valid COVID-19 vaccination card at any Krispy Kreme shop in the U.S. can receive a free iconic Original Glazed® doughnut – anytime, any day, even every day – through the remainder of 2021.
Krispy Kreme truly went all out, feeding you a doughnut every day for months; I can imagine some people went for it purely for the economic reasons. The slogans are also funny - Be Sweet Weekend
, Be Sweet Dozen
- when they're pushing total junk. How all those unhealthy things were being used as promotional material for the allegedly healthy COVID vax beautifully showcased the clownery of this world.
I kept the funniest for last. The inspiration for the entire section. Really had to double check for the April Fools date there - but no, it wasn't there.
Would you take the jab, to spend 30 minutes with her in the sauna club? :D It's just a little needle... I'm sure all the hikikomori coomers have finally left their homes to line up for this :D. The article also says this:
"And I also think it's a great idea that this is being offered for women, children and of course men."
Even the kids? I hope this doesn't mean what it seems to mean.
On June 17, popular podcast host Joe Rogan had offered (archive) (MozArchive) vax shill Peter Hotez a donation of 100 000 USD to a charity of his choice, if he agreed to come on his show to debate Robert Kennedy Jr on vaccines. The offer has reached 2.6 million (archive) (MozArchive) as of June 19. Now, Peter Hotez has historically complained (archive) (MozArchive) about the dangers of anti-science
, and so will surely be eager to refute the anti-vax misinformation on the most popular podcast in existence, right? But no; despite pretending to Combat Antiscience
on his Twitter profile (archive) (MozArchive), he refuses to come where the combat is actually held. But he is quite willing to have that discussion
...with no opponent (archive) (MozArchive). Imagine, passing up on that opportunity to educate millions and embarrass the uneducated antivaxxer RFK. Finally, killing misinformation for all and saving millions of lives! But it's not going to happen, because Peter Hotez just doesn't want to embolden conspiracy theorists
, as some shills (archive) (MozArchive) he's retweeting have said:
He said that he would go on Rogan's show but would not debate RFK Jr.. He simply knows that debating conspiracy theorists does nothing but strengthen and embolden them.
Another shill's opinion (archive) (MozArchive) was that maybe he just doesn't want to perform on demand
for those dirty antivaxers:
Dr. Hotez is not there to perform on demand just because some anti-vax crank made stupid statements.
Yes, that's it; and certainly not the fact that what the snake oil peddler fears the most is public debate. Hotez is also quite happy to repost attacks (archive) (MozArchive) on his would-be opponent, gladly whipped up by his mainstream media minions. Look, no one gives a shit about the vax shills whining to themselves about those dirty anti-vaccine
, anti-science
people. It doesn't convince anyone anymore. You know what would? Stepping into the ring and proving your position there. Do that, you pathetic coward, or shut the fuck up! But of course, you won't come. So yes, go retreat to the mainstream echo chamber that worships you. But the amount of misinformation spreaders
will be increasing while you keep running away :D. This is a story to watch in the coming days, for sure. Edit: wow, he's unhinged! I was right to keep an eye on this story; Hotez is (re-)tweeting every single one of the many MSM hit pieces on RFK, or ones defending his own cowardice. I swear, I've never seen something so embarrassing in my life. Even when video games try to create the most cringe character (e.g Larry Butz), they can't manage to reach Peter Hotez' level of patheticness. Needless to say we aren't going to get any debate from him.
By the way, this is the exact same type of ethics presented by all kinds of mainstream shills. The moon landing believers, GM food lovers, neo-Darwinists, 9 / 11 official story defenders, etc. They are all happy to blame the conspiracy theorists
or science deniers
for all the world's evils; calling them stupid, insane or dangerous - but won't dare to face them at a neutral venue. Don't they see how pathetic this is? It would be like an MMA fighter bragging non-stop about how much better he is than his rival; so much better - in fact - that he can't be bothered to get off the couch for the fight. In reality, if he felt so superior, he wouldn't waste time talking about his weak rival. But people like Hotez can never stop taking potshots at the conspiracy theorists
while refusing to engage. I mean, do they not think this kind of behavior will eventually turn against them? Everyone that isn't apart of the cult of mainstream shills (meaning neutral people) has already figured out that Hotez and his ilk are scared shitless of being questioned and forced to defend themselves. So - like the cowards they are - the shills stick to the potshots, increasing tensions between them and the conspiracy theorists who now feel dehumanized. This really might cause a revolution soon, hopefully. Hey, people are already going to Hotez' house (archive) (MozArchive), trying to inquire as to why he won't debate. And the coward is crying harassment! Oh, you poor, harassed vax shill, I'm so sorry for you...not. If you (the reader) are sorry, let me remind you this guy keeps trying to shove (archive) the snake venom into your kids. And I'm sure the media will (if they haven't already) turn this story into a January 6-style "attack on democracy" while ignoring the fact that this shill cannot defend his positions.
This is old news by now, but somehow I didn't cover it when it happened - probably because I was scared she would be heavily punished and the good news story would turn out to be not-so-good. After her trial, the event dropped a few steps in my brain's ladder of importance, and I ended up never getting to it (as there was always something more exciting to cover). But now I have some downtime and it occured to me just how crucial this event was, after all. Because it shows us a clear path to winning against the so-called "elites". Excited yet? Read on (archive) (MozArchive)...
Red Cross nurse Antje T, 39, jabbed thousands of elderly patients at a vaccine centre in Germany with what she told them was the BioNTech Pfizer vaccine but was just a saltwater solution.
Beautifully using her high position to do good. Heroes exist not only in cartoons! And yet...
But after more than a month she was reported by another employee who saw her use the saline solution instead of the vaccine on six patients on April 21, 2021.
...her venom-loving co-worker just couldn't keep her mouth shut. Fortunately the heroic nurse had a good excuse at the ready:
When questioned by police, she admitted to using saline solution but had said she only did it because she had accidentally broken a vial containing six shots and was ashamed to tell her colleagues.
She still lost her job, but avoided prison, presumably because of the low amount of "victims":
Antje T in turn was initially charged with 15 counts of intentional assault at the beginning of the trial in November 2022, but nine of them were dropped due to no evidence.
Intentional assault
:D. They forgot the word "prevention" at the end.
Court spokesperson Torben Toelle said that the prosecutor found evidence that six syringes were changed for saline, leading to the charges, but that they expect this was done to many more.
Of course it was more. It's obvious she didn't poison any of her patients and the broken vial
was just a rabbit she pulled out of a hat that somehow worked to save herself. It's basically impossible to believe she stopped only at 6 in light of this:
The 39-year-old had additionally posted several social media posts where she openly emphasized her skeptical views regarding COVID-19 vaccines.
From here (archive) (MozArchive) we know that as many as 3,600 people had already signed up
for another dose of the snake venom after Antje's sabotage was discovered. Even though this might seem like undoing her sacrifice, it doesn't really. First of all, as many as
means "at most" 3600 people. Meaning at least 5000 were still saved (I would also question these figures, as they might just be an attempt to convince us that "resistance is futile"). And remember that if the traitor didn't snitch, this wouldn't have been discovered at all. There were surely many similar incidents where the perpetrator was able to stay hidden. But because Antje got snitched on, we know that the sabotage happened and we know that it is an effective way to fight against the so-called "elites". So the betrayal ultimately worked to our benefit. Thanks for showing us the right path, Antje.
Oh, but some might say "well, everyone has the right to choose what goes into his body, including the snake venom! So this isn't a heroic act at all!". And my answer to that is: were they really choosing? There are many ways (archive) (MozArchive) to show that the "independent rational agent" doesn't really exist. And remember, we were bombarded with propaganda at unprecedented levels. Antje's patients were saved, not robbed of their freedom. We really need to simply accept our wins when we get them. There are enough losses out there, we don't need to make up more.
Anyone with a high position can attempt sabotage in a similar way. Imagine school teachers just giving their students all 5s and having them do something actually interesting during lessons. The country border guards who simply let people through. Government database workers who remove people's debts or criminal records. Soldiers who turn against their generals (though this is obviously a more risky one). Prison workers who assist in an escape. Not to mention the media people who can use their reach to expose a conspiracy (local), call out unjustified wars (archive) (MozArchive), etc. The possibilities are endless. Of course, fear is a barrier but sabotage is a lot safer than directly confronting the so-called "elites" - and might even be more effective. The psychopaths might find themselves with many of their plans evaporating and they won't even know it.
There are 3 main reasons to avoid the vaccine. One, it's a new technology (mRNA) that is clearly much more harmful than the way vaccines were made before - but whose long term side effects are also totally unknown. Two, you're taking a vaccine for something that's unlikely to significantly affect you, anyway. If you ride it out (as in, get infected without dying), you get an immunity that's stronger than what the vaccine would have provided. Three, and perhaps the most important - you're denying the so-called "elites" the world they really want. The world where you have to take their preferred substances to participate in society. Lockdowns and quarantines are apart of the same slavery scheme - but the vaccines are worse. Since they edit your genetics, they're giving away the control of your body permanently to the so-called "elites" (perhaps why Billy was able to "predict" they're going to take the center stage? No, that can't be...). The vaccine passports can also be kept going indefinitely (it will be just another document required for flights, hospital visits, etc - same as an ID card or whatever), unlike lockdowns and quarantines. What about the other types of vaccines, such as the Chinese or Indian ones? Though they're less dangerous than the mRNAs, reasons 2 and 3 still apply.
What is the proper course of action against infections, then? How about supporting your immune system - which is what has to deal with any kind of virus or bacteria, anyway? Here are some relevant quotes from the excellent book The Wheel of Health:
These areas of infection due to the same cause were very varied in character and situation. One rat would have something wrong with its ear, another with its stomach, another with its bladder, and so on.
Actually, 44 percent of the 92 rats had something wrong with their urinary organs; 24 percent with their ears and noses; 38 percent with their eyes; 21 percent with their stomachs and intestines; and 9 percent with their lungs.
If a source of Vitamin A, such as butter, cod liver oil or egg yolk formed a part of the diet, infective lesions were never seen in rats, the addition of these substances to the deficient diets, generally resulted in rapid improvement and ultimate cure
So, rats fed shitty diets get infections - but the ones given a good diet don't and can in fact rapidly cure themselves - proving the WHO completely wrong. Of course, these infections were unspecified, but there's no reason to think COVID-19 would somehow be exempt. The great thing about the immune system is that it's universal and can kill every single bacteria and virus in existence - including the mighty COVID-19 (archive) (MozArchive) or even salmonella (archive) (MozArchive). If this wasn't the case - and we required a specific drug or a vaccine for every new pathogen that might appear (and this happens all the time (archive) (MozArchive)) - anyone who didn't get those medical remedies would just die. We have survived on this Earth for millions of years, and for a lot of that time, there was no handwash, antibiotics, masks or stuff like that. Yet we're still here today, because our immune system is very effective at its job. However, civilization is full of toxic assaults that can weaken it - such as refined sugar (archive) (MozArchive), industrial seed oils (archive) (MozArchive), pesticides (archive) (MozArchive), EMFs (archive) (MozArchive) and psychological stress (archive) (MozArchive). So how can we protect ourselves?
Children with low levels were more likely to have fever at a temperature of 40 degrees C or higher (68% vs 44%), to have fever for 7 days or more (54% vs 23%), and to be hospitalized (55% vs 30%). Children with low vitamin A levels had lower measles-specific antibody levels.
Overall, the mean plasma retinol concentration was 1.74 ± 1.09 µmol/L in TB patients and 2.8 ± 0.97 µmol/L in healthy controls (Table 2). Comparison between TB patients and healthy controls showed a statistically significant difference (p < 0.0001).
The recognition that RA induces gut imprinting, together with our finding that it enhances A-Treg conversion (A-Treg = T regulatory cells - addition mine), differentiation, and expansion, indicates that RA production in vivo may drive both the imprinting and A-Treg development in the face of overt inflammation.
Ascorbic acid was essential for the developmental progression of mouse bone marrow-derived progenitor cells to functional T-lymphocytes in vitro and also played a role in vivo.
As we expected, the levels of IFN-α and -β in BAL fluid and plasma from vitamin C-insufficient Gulo (-/-) mice were quite lower than those in wild type and vitamin C-sufficient Gulo (-/-) mice (Fig. 3A and B). This result proves that vitamin C is an essential factor for the production of anti-vital immune response during the early phase of virus infection through the production of type I IFNs.
The patients with septic shock had lower vitamin C concentrations and higher C-reactive protein concentrations than the non-septic patients
This is despite receiving allegedly adequate amounts (might it be because they are not actually enough, and the authorities have lied again?):
These low vitamin C levels were apparent despite receiving recommended intakes via enteral and/or parenteral nutritional therapy (mean 125 mg/d).
When immune cells called macrophages encounter a pathogen and become activated, the vitamin D pathway is turned on, leading to the induction of the cathelicidin antimicrobial peptide if serum levels of vitamin D are sufficient
subjects treated with vitamin D supplementation had immune-related differential gene expression in alveolar macrophages.
Each 10 nmol/l increase in 25(OH)D was associated with a 7 % lower risk of infection (95 % CI 3, 11 %) after adjustment for adiposity, lifestyle and socio-economic factors.
In those patients who do have influenza, we have treated them with the vitamin D hammer, as coined by my colleague. This is a 1-time 50 000 IU dose of vitamin D3 or 10 000 IU 3 times daily for 2 to 3 days. The results are dramatic, with complete resolution of symptoms in 48 to 72 hours.
Now, I've mentioned before that the immune system is universal - so it doesn't matter what kind of pathogen you've got, it will still mount a defense. This, though, will not satisfy the fearmongers or their unfortunate victims who've been brainwashed into thinking nCov is magic fairy dust. Here - then - is evidence that vitamin D is directly involved in fighting against COVID-19:
Mean serum 25(OH) vitamin D level was significantly lower among deceased patients compared with the surviving patients (10.4 ± 6.4 vs. 19.3 ± 11.2 ng/mL, respectively)
Mean serum 25(OH) vitamin D level was significantly lower in patients with severe-critical COVID-19 compared to that of patients with moderate COVID-19 (10.1 ± 6.2 vs. 26.3 ± 8.4 ng/mL, respectively)
A total of 237 hospitalized patients with COVID-19 aged 22-99 years (mean: 63.3 ± 15.7 years) were enrolled in the study. Almost all patients were vitamin D deficient (97%), 55% were severely vitamin D deficient (<25 nmol/L) and 42% were vitamin D deficient (<50 nmol/L); 3% had insufficient vitamin D levels (<75 nmol/L), and none had optimal vitamin D levels.
Edit: anyway - now that I have an actual vitamin D report up - I think it's appropriate to end this section here (I show there why what researchers consider simply deficient
is actually already extremely so, among other things - but it's not all that relevant to corona itself). So let's move on to the other immune system supporters:
Natural Killer (NK) cell activity was examined in a 16-month-old Japanese boy with Shwachman syndrome associated with severe vitamin E deficiency. As evaluated by 51Cr-release assay from K562 cells, NK cell activity was constantly decreased. After 8 weeks of oral alpha-tocopherol (alpha-Toc) supplementation (100 mg/day), NK cell activity had normalised. When alpha-Toc supplementation was interrupted for 16 weeks. NK cell activity again decreased.
Thus supplementation of healthy volunteers with a “selenium replete” status with 200 μg/d Se for 8 wk increased the ability of human peripheral blood lymphocytes to respond to stimulation with alloantigen (48). The supplementation regimen resulted in 118% increase in cytotoxic lymphocyte-mediated tumor cytotoxicity and 82.3% increase in natural killer cell activity as compared to baseline values.
An amyocarditic strain of coxsackievirus B3, CVB3/0, converted to virulence when it was inoculated into Se-deficient mice. This conversion was accompanied by changes in the genetic structure of the virus so that its genome closely resembled that of other known virulent CVB3 strains.
More recent research has shown that a mild strain of influenza virus, influenza A/Bangkok/1/79, also exhibits increased virulence when given to Se-deficient mice. This increased virulence is accompanied by multiple changes in the viral genome in a segment previously thought to be relatively stable.
Amongst the COVID-19 patients, 27 (57.4%) were found to be zinc deficient. These patients were found to have higher rates of complications (p = 0.009), acute respiratory distress syndrome (18.5% vs 0%, p = 0.06), corticosteroid therapy (p = 0.02), prolonged hospital stay (p = 0.05), and increased mortality (18.5% vs 0%, p = 0.06).
Fisher's exact test revealed that the experimental group 1.92% (N = 2) had significantly fewer symptomatic COVID-19 infections than the control group 10.42% (N = 10)
And if you do, it ensures they will be mild:
Of the two participants who developed COVID-19 infection, they had mild symptoms–cough, sore throat, low-grade fever, and generalized malaise. Both participants were managed in the outpatient service via telemedicine without complications. In the control group, there were nine cases of symptomatic COVID-19 infection, and three participants required hospital admission for severe hypoxemia, and one of these hospitalized participants died.
There is much more evidence if you care to look around. I think the overall trend is clear - the human immune system depends on nutrients. Lack of them kills it while replenishing them reactivates it. And we need all of them because they do different jobs. However - unlike with drugs - we do not need to know exactly what every nutrient does. Our bodies are so smart, you just need to provide the required nutrition and the body will know what to do with it. Science has spent lots of human effort and resources to try and find specific virus or bacteria cures. They are - of course - chasing their own tails if they don't take nutrition into account. There's no need to know the specifics of COVID-19 replication (archive) (MozArchive) and such - because as I said before, the immune system is universal and - if well supported - will destroy all pathogens while we are none the wiser. Of course, modern medicine loves this "scientific" attitude because they can then develop drugs to block specific enzymes etc. and earn a lot of money while the people's health remains poor. It's all a big scam.
Food is the best (archive) (MozArchive) - more absorbable and with no potential for toxicity. Supplements only as a last resort.
Vegan diets are not related to deficiencies in vitamins A [...]. Of course, that doesn't mean it's impossible to; if you suspect of being deficient, then animal products (especially liver) are a sure way to get Vitamin A without worrying about not enough conversion.
However, when the salmon was fried in vegetable oil, approximately 50% (123 IU of vitamin D3 was recovered.)- so just rely on the sun and supplements. Edit: I now have a big report about vitamin D, showing how important it is especially these days.
Keep in mind you probably need those before getting sick. But hey, the vitamin D hammer (archive) (MozArchive) for the flu is a thing - This is a 1-time 50 000 IU dose of vitamin D3 or 10 000 IU 3 times daily for 2 to 3 days. The results are dramatic, with complete resolution of symptoms in 48 to 72 hours
. So - as you can see - it's never too late to improve your nutritional status, and it might save your life down the road. Of course, the earlier the better; don't let your body break down before you give it the repair materials. Just make it so that repair isn't necessary in the first place. Anyway, I think the real "pandemic" ravaging our civilzation is the toxicity and lack of nutrition in our diets. How successful would the so-called "elites"' scare tactics have been if we were confident in our bodies' ability to fight off all infections? And that is why these measures are usually not covered by the mainstream media - and if they are, it's in a dismissive way before they move on to their attempts to enslave humanity.
Just saw it in my bookmarks, so might as well put it here (archive) (MozArchive). The effects:
[...] intubations and deaths were reported in 19% of CTRG (8 patients), but neither in ACUG (relative risk: 0.05), nor in CUPG (relative risk: 0.05). None of the patients in the CUPG (relative risk:0.03), two patients in ACUG (4.8%; relative risk: 0.15), and 13 patients in CTRG (31%) received ICU care (p<0.001).
And now how the therapies were done. Cupping:
In the cupping group, we combined TCM and PM techniques of cupping in respiratory and infective diseases. The primary method included retained warm cupping on Urinary Bladder-13 (BL13) acupoint (on the back, 1.5 cun lateral to the lower border of the spinous process of the third thoracic vertebra) for one minute. This was supplemented with sliding (moving) cupping of paraspinal (1.5 cun lateral to the spinous process of thoracic vertebrae) and lung regions at least 1.5 cun lateral to the spinous process of thoracic vertebrae for five minutes. Patients were in sitting or lateral decubitus position. The procedure was performed three times a day for 3-7 consecutive days (based on patient hospitalization, from the first day of hospitalization to the maximum of the seventh day of hospitalization), with a medium glass (5 cm mouth diameter and 8 cm height), and a suction amount of 10 to 15 mm.
Cups had the texture of a transparent glass. Moving cupping involves standardized manipulations in PM10. First of all, vaseline is applied to the posterior thorax as a lubricant with no therapeutic effect. Using the flashing method, a 95% ethanol-soaked cotton ball is held with tweezers and the cup is held upside-down. After the cotton ball is ignited, it is immediately moved into the cup and removed; the cup is then quickly placed on the skin of apex of lungs, and the created vacuum causes the skin to be drawn into the cup. Then, the cup is held in one hand and pulled and pushed from the apex toward the base of the lungs and back while applying light force, such that the skin of the treatment area turns purple. Even force is applied when moving the cup to prevent falling off due to air leakage. This is repeated on the posterior thorax for five minutes.
And finally acupuncture:
In the acupuncture group, standard needling method (without electrical stimulation and by using disposable tube needles) was performed with 0.25 mm × 40 mm, single-use, sterile, stainless-steel needles. Selected acupoints included: Governor Vessel-20 (GV20; Baihui), Lung-5 (LU5; Chize), Lung-7 (LU7; Lieque), Large Intestine-4 (LI4; Hegu), Liver-3 (LR3; Taichong), Liver-14 (LR14; Qimen), Conception Vessel-12 (CV12; Zhongwan), Conception Vessel-17 (CV17; Tanzhong) and Stomach-36 (ST36; Zusanli). Patients were in recumbent position. Hand sanitizer was used for hand hygiene. Each acupoint was sterilized strictly according to the requirements of disinfection and protection in the negative-pressure ward. After disinfection, the cotton balls were disposed of into the infectious contaminant bucket in the inpatient ward buffer area.
Cupping appears more effective, with zero out of 44 patients ending up in the ICU compared to the 2/42 in the acupuncture group and 13 of the ones who had only standard care
done. These were all moderate to severe COVID-19 patients
, too.
Realistically, our immune system should deal with infections with just the basics covered. However, sometimes you need that extra boost, and herbs can provide it in a safe way (unlike medical drugs or vaccines). Keep in mind that for the longest time humanity has lived in the wild, being dependent on the plants growing there. Eating those would have given them a constant dose of thousands of bioactive phytochemicals of which some have anti-infective properties. So, just including a variety of plants in your diet is a great way to try to replicate the ancient environment to which we're adapted to. But some plants are particularly effective - and we call the usage of those herbal medicine:
Definitely the King of immune supporters that can apparently kill any virus (archive) (MozArchive) - Almost every virus tested has not been able to withstand allicin, the active ingredient produced when a fresh clove of garlic is crushed
. Here's what the Encyclopedia of Herbal Medicine says about it:
Garlic has always been esteemed for its healing powers, and before the development of antibiotics it was a treatment for all manner of infections, from tuberculosis to typhoid.
Garlic is an excellent remedy for all types of chest infections. It is good for colds, flu, and ear infections
Renowned herbalist Richard Schulze (archive) (MozArchive) (who ran a clinic for decades, curing all kinds of allegedly incurable diseases) heavily praises garlic:
I have seen it destroy all bacteria, virus, fungus, worms and parasites, everything inside, and outside too. Garlic is the most potent killer of bacteria, virus and fungus, in fact any antigen/pathogen, stronger than any other herb.
Garlic is totally selective in its bacteria destruction, only killing bacteria that's harmful to our body. What is amazing is that, at the same time, garlic actually enhances our friendly bacteria and improves our intestinal flora and digestion. Garlic destroys many types of bacteria including Streptococcus, Staphylococcus, Typhoid, Diphtheria, cholera, bacterial dysentery (Traveller’s diarrhea), Tuberculosis, Tetanus, Rheumatic bacteria, and many others. But, that's not all, garlic is also an extremely potent anti-viral agent. Garlic has been tested against many viruses and is known to destroy on contact the viruses that cause Measles, Mumps, Mononucleosis (Epstein-Barr), Chicken pox, Herpes simplex #1 and #2, Herpes Zoster, Viral Hepatitis, scarlet fever, Rabies and others. But still, that's not all. Garlic's anti-fungal ability is second to none. In the laboratory, it has proven to be more potent than any known antifungal agent including Nystatin. Garlic will regulate the overgrowth of Candida albicans and positively kill ringworm.
UPDATE October 2023: was somehow compelled to try to seek scientific evidence for garlic's effectiveness specifically against COVID. Turns out, it does exist (archive) (MozArchive):
Compared to the control group, the group receiving garlic essential oil showed a shorter duration of symptoms, shorter time to negative nucleic acid testing (NAT) results and shorter time to improvement on the computed tomography (CT). In the same period, the experimental group showed an increase in the rate of the disappearance of symptoms and the improvement rates of NAT and CT.
And so, the same WHO that made an image mocking garlic in particular, is made to eat crow :D. By the way, the raw cloves are stronger than "essential oil" or any other preparation. It is sad to think, that more effort has been spent on hunting down supposed misinformation (archive) (MozArchive) about garlic than actually using it to heal people. But then again, no one in this world truly cares about the sick, and especially not anyone with a high position.
Garlic's brother (or maybe sister?) in arms, that instead of directly killing pathogens, increases the activity of your own immune system. Again from Schulze (archive) (MozArchive):
It helps the body create more immune blood cells, actually increases T-cell counts, helps increase macrophage production and activity (eating ability), stimulates production of interferon and interleukin I, and it seems to protect cells from invasion.
Echinacea and Garlic are a dynamite duo and I highly suggest they be used together. I suggest anyone on Echinacea consume at least 3 cloves of garlic a day, also.
I had a woman come into my clinic who had an infected, swollen sore throat for 3 1/2 months and the doctors had given her every drug and antibiotic under the sun; nothing worked. Her immune system was shot. She used Echinacea tincture for 2 days and it was gone and never came back. I have had patients with chronic infections for years get almost instant results using Echinacea only for a few days.
And from the Encyclopedia:
Clinical research into echinacea has confirmed that it increases the number of white blood cells and their strength of action, although its precise mode of action on immune function is not well understood. The polysaccharides inhibit the ability of viruses to take over cells, while the alkylamides are antibacterial and antifungal. Research supports the use of echinacea to prevent colds and respiratory infections resulting from air travel.
Echinacea is a key remedy in Western herbal medicine, and is used to treat many health problems, notably viral and fungal infections, and skin infections such as acne and boils. It makes an excellent gargle for throat infections, and is typically prescribed by herbalists wherever the immune system is underperforming.
You could say Garlic is the sword and Echinacea the shield in the fight against infectious diseases. But herbal medicine still has more to offer:
This one is specific for respiratory infections (what COVID-19 is usually stated to be). From the Encyclopedia again:
The herb is an antiseptic and is very helpful for colds, flu, and sore throats.
Eucalyptus is a strong expectorant, suitable for chest infections, including bronchitis and pneumonia.
The diluted essential oil, applied to the skin as a chest or sinus rub, has a warming and slightly anesthetic effect, helping to relieve respiratory infections. The same effect occurs when the infusion or tincture is used as a gargle.
Calms down the immune system when it has become overactive. Weakens the damage from infections that have already established themselves. From the Encyclopedia:
Research has established that turmeric, and curcumin in particular, blocks several different inflammatory pathways, countering inflammation throughout the body.
Turmeric is largely taken as a supplement to prevent or treat cancer, dementia, and many auto- immune diseases.
It has also been shown to act specifically against COVID-19! So, we've had a cure for COVID-19 (archive) (MozArchive) right inside our kitchen cabinets that the authorities have of course completely ignored:
According to the paper,3 "Potential Inhibitor of COVID-19 Main Protease (Mpro) From Several Medicinal Plant Compounds by Molecular Docking Study," posted March 13, 2020, on preprints.org, curcumin and demethoxycurcumin were two compounds (found in turmeric -) among several that were found to inhibit COVID-19 Mpro.
Studies have also shown curcumin has an inhibitory effect on virus-induced cytokine storms, which occur as a result of an overproduction of immune cells and pro-inflammatory cytokines. This too suggests it may be of particular use against COVID-19, considering the cytokine storm triggered in severe and critical COVID-19 infection is what ends up killing these patients.
Decreases the length of hospital stay. From this study (archive) (MozArchive):
Additionally, when classified by prior medical conditions, ginger-supplemented participants showed significant improvement in hospital stays regardless of their prior health status; where the estimated difference was 3.8 days [95% CI 2.5–5.2 d] in individuals with prior medical conditions and 1.8 days [95% CI 0.8–2.8 d] in participants without pre-existing medical conditions, respectively.
Besides, our subgroup analysis highlighted the importance of ginger supplement to older adults, where the hospitalization time could be shortened to less than half of their un-supplemented comparisons, which could effectively reduce the suffering and pain and improve the life quality of the elderly.
The worse condition you are in, the more the treatment helps. The study annoyingly shills the severity of the "pandemic" and the effectiveness of vaccines; this seems to be a requirement to publish these days. But whatever, the information is still useful.
Chokeberry juice inactivated about 97% of SARS-CoV-2 after 5 min, while green tea and pomegranate juice inactivated about 80% of the virus.
Keep in mind this is a culture study, so not as good as an actual human study would be, but still - it's much better evidence than what the fearmongers have for their useless measures. WHO, of course, has shat on herbal medicine as a treatment for COVID-19 - prefering masks, lockdowns and vaccines which don't work. Should we laugh or cry?
May have
when the amount of evidence is massive (versus zero for their useless measures). Ha ha ha. Anyway, since this isn't a report about herbal medicine, I think I'll finish this here. There are more antiviral herbs than the ones I mentioned, such as cinnamon, oregano, or lemon. For the purposes of the argument, I've also assumed that COVID-19 is actually an infectious disease - even though it's usually the co-morbidities that end up doing you in. There are herbs for chronic diseases as well, and the COVID-19 fearmongers - by ignoring or attacking these extremely effective remedies - have exposed themselves as enemies of your health. To learn more, read the Encyclopedia of Herbal Medicine, visit Richard Schulze's webpage, or look up herbal remedies by action on sites such as Herbpathy. Scientific studies can be found on e.g GreenMedInfo.
We've conclusively proven that corona response had nothing whatsoever to do with your health. What was the point of it all, then? Let's go through the things that have happened as a result of the fake pandemic:
Obviously a way to deny people the ability to meet their families in other countries. Also teaches you that you are limited in your movements to a certain area at all times - that is, unless you get the permissions of your masters.
All the countries with coronavirus travel restrictions and bans (archive) (MozArchive)
Schwab On Right To Travel: Risk Assessment ‘Brain Scans’ (archive) (MozArchive)
From the point of view of the business, it destroys their profits and makes them die (archive) (MozArchive):
Across the full sample, 43% of businesses had temporarily closed, and nearly all of these closures were due to COVID-19.
Our results also highlight the financial fragility of many businesses. The median firm with monthly expenses over $10,000 had only enough cash on hand to last roughly 2 wk. Three-quarters of respondents only had enough cash on hand to last 2 mo or less.*
Big international corpos can avoid this fate due to having money saved up as well as their bigger online presence. From the point of view of the customer, it restricts the stuff they're able to do. No more going to the restaurant, the barber, the doctor. Just have to rely on what you yourself are able to do. Also takes away jobs and makes people dependent on government handouts, in preparation for the AI takeover that will likely make many people homeless.
48% Of U.S. Small Businesses Fear That They May Be Forced To “Shut Down Permanently” Soon (archive) (MozArchive)
A better way to call this would be house arrest. Gets you used to the idea of your home being your own cage, that you can be locked into if you're deemed "dangerous" by your masters.
Coronavirus quarantine enforced for all people entering Australia, lockdowns on the table (archive) (MozArchive)
Coronavirus quarantine rule prompts WA threat of $50,000 penalty as panic buying intensifies (archive) (MozArchive)
Coronavirus: All New Zealand's confirmed COVID-19 cases to be put in quarantine facilities from now on (archive) (MozArchive)
Electronic wristband to ensure stay-home notice: Quarantine monitoring devices being used by others worldwide (archive) (MozArchive)
Coronavirus forces Italy to quarantine 16 million people to contain killer bug (MozArchive)
And don't you dare defy them!
Dystopian Footage:
Quarantine Breaker Subdued And Arrested By Swarm Of Police In Hazmat Suits (archive) (MozArchive)
Quebec couple hit with curfew-violation fine after wife walks husband on a leash (archive) (MozArchive)
COVID-positive fugitive Anthony Karam knocks back offer of hotel quarantine (archive) (MozArchive)
Masks have a symbolic meaning of shutting your mouth, so it teaches you that you don't have a say. Also, much of human communication is through facial expressions, and the masks destroy that. You now have no idea whether the person next to you is angry, scared, serious or making a joke, etc. which surely isn't good for social connections. The authorities really need you to wear your muzzle, you good doggie you:
Venezuela Is Forcing People Who Are Caught Not Wearing Masks Into Hard Labor (archive) (MozArchive)
Pepper the robot can politely suggest you wear a damn mask (MozArchive)
Not wearing mask in public is 'act of domestic terrorism,' LA County health officer declares (archive) (MozArchive)
Get more information about you, train you to accept more surveillance in preparation for worse (AI CCTV, microchips, etc...)
Australia to allow contact tracers to access credit card transaction data (archive) (MozArchive)
Iran Launched an App That Claimed to Diagnose Coronavirus. Instead, It Collected Location Data on Millions of People (archive) (MozArchive)
Google considers sharing location of user movements with governments to provide social distancing data (archive) (MozArchive)
Singapore confirms that police can access coronavirus contact tracing data (archive) (MozArchive)
In Coronavirus Fight, China Gives Citizens a Color Code, With Red Flags (archive) (MozArchive)
Destroy friendships, families, social connections in general. Create a world where everyone is suspicious of the other person.
Los Angeles to shut off water and power to houses hosting large parties or gatherings (archive) (MozArchive)
Coronavirus: Germany tightens curbs and bans meetings of more than two (archive) (MozArchive)
Simple - can't have people doing independent research. All must buy into the fearmongering narrative! These headlines should say it all:
Vietnam introduces 'fake news' fines for coronavirus misinformation (archive) (MozArchive)
UN Recruits 110,000 Social Media Influencers To Correct Online COVID Wrongthink (archive) (MozArchive)
Australian woman arrested for "incitement" over anti-lockdown Facebook post
(archive) (MozArchive)
You Must Not ‘Do Your Own Research’ When It Comes To Science (archive) (MozArchive)
And again, teaches you that someone else controls what you can or can't say.
By claiming that (archive) (MozArchive) cash can spread the virus...
However, the agency did say it's "advisable to use contactless payments to reduce the risk of transmission," the Telegraph reports.
...they want to reach cashless society, which will allow the banks to have a database of all our purchases, block certain ones, reduce social credit according to them, apply fines, or even "erase" a person. More here.
Will coronavirus spell the end of cash in Britain? (archive) (MozArchive)
Venezuela Has Gone Cashless (And That’s Not All) (archive) (MozArchive)
By looking at the punishments for not being vaccinated, we can see that this issue is really important to the ruling class:
COVID vaccine refusal could result in ban from going to work (archive) (MozArchive)
Brazilian supreme court rules against COVID anti-vaxxers (archive) (MozArchive)
Anti-vaxxers could face public transport ban in France (archive) (MozArchive)
Five years imprisonment and/or a $66,600 fine for refusing coronavirus vaccination? (archive) (MozArchive)
Qantas CEO Alan Joyce says proof of COVID-19 vaccination will be a condition of international air travel (archive) (MozArchive)
COVID-19: B.C.’s vaccine passport is here and this is how it works (archive) (MozArchive)
Hong Kong will ban the unvaccinated from malls, supermarkets, wet markets: Carrie Lam (archive) (MozArchive)
The point of this is to take away control over your own body, especially since this will be the first ever vaccine to modify your programming (archive) (MozArchive) (genetics):
Here’s how an RNA vaccine works: rather than injecting a pathogen’s antigen into your body, you instead give the body the genetic code needed to produce that antigen itself
Note: I did not claim here that DNA will be permanently altered. However, according to this doctor, that is a possibility. I've transcribed the relevant part of the interview (skipping stuff I couldn't understand or didn't think matters):
So, RNA can be transcribed...about 6 or 7% of our DNA is retroviral DNA, and this messenger RNA can be transcribed. SARS itself has been shown now, they just wrote a paper that it can transcribe into our own genome...so clearly if the virus can do it, the vaccine can do it cause it's, it's what we're using, we're using a part of the virus, the spike protein, to make the vaccine. So, we're seeing transcription into our own DNA. So, could it happen? Of course it can happen cause it's happened with the actual virus itself. It means this messenger RNA goes into your body and then accidentally...you could design it on purpose but we'll assume they're not designing it that way on purpose, but accidentally get transcribed into your own DNA. That's what retroviruses do.
[Question:] what does it mean if I was Dr. Evil and like the most sinister person in the world?
[Answer:] What it means is you'll have chronic COVID-19 your whole life. We're thinking, potentially, and this is not just about the vaccine only, alright? But the vaccine could definitely do the same thing. We think that some of these people have extended COVID-19, it's because it's transcribing into DNA...Back into the 1990s, they were excited cause you could cure cancer this way, insert a gene code into the body to maybe get over inborn error of metabolism, so yeah, this is Dr. Evil stuff, potentially. Hopefully these guys aren't doing that.
However, even if the vaccine will not have an effect on DNA, it's still getting your body to directly execute external instructions. And since (as the above links show) you will become a second class citizen without the vaccine - the vast majority of people will take it. And the fearmongers could easily create a vaccine that will make your own body produce any kind of protein (not just the corona spike protein) including ones that have kill fertility (archive) - (MozArchive) or possibly inhibit certain traits - such as rebelliousness or courage. There is now scientific proof (archive) (MozArchive) that RNA from COVID (and thus presumably the mRNA vaccines which contain it) can get integrated into your DNA. UPDATE March 2022: forget the presumably
, we now have direct scientific proof (archive) (MozArchive):
"We also show that BNT162b2 mRNA is reverse transcribed intracellularly into DNA in as fast as 6 h upon BNT162b2 exposure."
And once genetic modification is on the table, anything is possible. If you still think this is just my imagination, look (archive) (MozArchive):
In nature, mRNA molecules function like recipe books, directing cellular machinery to make specific proteins. Moderna believes it can play that system to its advantage by using synthetic mRNA to compel cells to produce whichever proteins it chooses. In effect, the mRNA would turn cells into tiny drug factories.
And from Elon Musk (archive) (MozArchive):
Creating synthetic mRNA for cures/vaccines is the future of medicine imo. Turns it (mostly) into a software & modeling problem.
Is this clear enough? "Medicine" that works by ordering your body to create arbitrary proteins is the future according to Musk and Moderna. A lot of what your body does is through proteins; insulin is one and so are the enzymes that digest your food. Now imagine what you can accomplish if you have the ability to create any kind of protein inside it. And since it has now been shown that the mRNAs can get permanently established in your body, the door to human hacking for the so-called "elites" becomes wide open. Putting the new "medicine" in your food (archive) (MozArchive) also makes the process incognito. Enjoy.
Unvaccinated tennis player Novak Djokovic was kicked out of the 2022 Australian Open (one of the 4 most important tournaments of the season) despite having a valid (archive) (MozArchive) (accepted by a court) medical exemption. This happened only because a COVID cucked immigration minister Alex Hawke thought (archive) (MozArchive) Novak will cause an increase in anti-vaccination sentiment
and reversed the court's decision. Do you now realize what this pandemic
was all about? They truly made a great example out of him, even keeping him in a torture cell (archive) (MozArchive) for 4 days. The uncompliant must be derided at every occassion. And the fact that they had to shove him around, instead of just telling him "bro, the unvaccinated are not allowed, see you" proves their psychopathy.
Anyway, the above is a rewrite of my old Mastodon post that's now gone because the instance has been deleted. It shows us that even really big celebrities will not avoid the abuse by the psychopaths who rule the world. And they are everywhere - in the media, politics, sports organizations. I recommend dropping sports if you still care about them, since they are all compromised. Djokovic - by the way - still did not end up taking the vaccine, and so is kind of a hero. The psychos took away two of his chances for Grand Slams, and maybe his chance for becoming the best tennis player in history - but he's still marching on as the proud pureblood. There are more important things in life than "success". Anyway, here are some other examples of the discrimination of the unvaccinated:
Coronavirus: Unvaccinated Indians forced to wear 'skull and crossbones' signs (archive) (MozArchive)Looking at the above, can we come up with an overall description for what the ruling class is planning to do with the corona response? I think we can. The measures enacted (masks, social distancing, lockdowns, quarantines, travel bans, online jobs, tracking apps, censorship, forced vaccines) all heavily violate our freedom or dignity. The massive punishments for resisting those destroy our spirits and create learned helplessness. This is where Stockholm Syndrome comes into play as a defense mechanism. When you're being abused and can't see a way out, a common response is to pretend your abuser is actually your friend. But for that to work, there needs to exist a justification for the abuse. And I can't come up with a better one than an invisible, deadly and contagious monster that requires all those extreme measures to stop. It has worked extremely well:

87% of Poles and 79% of Brits support their respective governments' COVID-19 measures. I'm sure most of the other countries would have similar figures. Also, 37% of Canadians supports (archive) (MozArchive) denying health care to the unvaccinated. This is exactly the kind of mindset the ruling class needs for their plans to be realized without inhibitions. Anyway, in the old version of the report I've said this:
I must say - "the coronavirus" has been amazingly successful at bringing us closer to all the above - but it's not enough. They will need a few more fake pandemics, school shootings, terrorist attacks, child porn scandals, environmental disasters, etc. which are all staged for this exact purpose. The main barrier is our mentality - which must be fully transformed into a helpless, cucked, Stockholm Syndrome one - before they can implement all their policies unchallenged. This is why they spend so much effort on scaremongering - you must have the idea that resistance is futile and to "trust the experts" forced into your head 24 / 7 until it sticks. The strategy seems to be working
Now it's obvious I've underestimated the severity of the situation. Sure, they will keep running other scams, but it's clear that they went all in on the fake pandemic. We can see this from the extreme punishments unleashed on people who dare to resist. But we also have direct proof from the so-called Great Reset (archive) (MozArchive) initiative. What is the Great Reset?
Just the New World Order rebranded. Finally, the ruling class admits they want to globally change the way the world works. The conspiracy theorists were right all along! However, to do that, the so-called "elites" needed an excuse and corona provides a perfect one. Now, the plan is of course portrayed as a positive, with slogans such as Reset ourselves to become agents of change, not just passive receivers of briefs
and Reset our work so what we create promotes sustainable values, attitudes and behaviours
. It is common for the so-called "elites" to use nice-sounding language to conceal their true intentions (all psychopaths do this). So let's see what is actually hiding behind their pronouncements:
There's no vaccine for the infodemic - so how can we combat the virus of misinformation? (archive) (MozArchive)
In a world where social media is increasingly where most of us get so much of our information, and where we value freedom of speech as a cornerstone of democracy, what can be done to combat dangerous misinformation?
Indeed, what can be done about the dangerous misinformation
spread by the so-called "elites"? Such as the one about the vaccine being safe and effective
and the one about nutritional and herbal treatments being useless? Maybe we should censor the so-called "elites" out of existence. But no, that won't be necessary, as long as we can spread our own ideas, too. And that's exactly what the so-called "elites" want to prevent through this censorship campaign. Pretending that information is inherently divided into science-based information
and misinformation
(and of course, they'd be the arbiters) then allows them to justify it ethically. But the point isn't ethics; the so-called "elites" are not trying to protect anyone from anything, just keep power. The power that allows them to pretend that covid restrictions are useful and necessary, or justify their mass gene therapy experiment. BTW, in science, when a study author benefits from the results of his own study (monetarily or otherwise), it's called a "conflict of interest", and heavily shunned (since he could have fudged the methods, removed the "outlier" data points, or done any of the other myriad ways of manipulation). Yet this is exactly what's happening here, with the so-called "elites" only showing us the exact information that supports the restrictions that they want to implement, and we're supposed to think this is benevolent. If they really cared about people's wellbeing, they'd have censored their own misinformation when it was proven to be so (archive) (MozArchive). But they obviously didn't, proving their malicious intentions. Also, we don't have a democracy, and haven't since ancient Greece.
Is the world up to the challenge of mass COVID-19 vaccination? (archive) (MozArchive)
As vaccine capacity ramps up, we face a task of unprecedented scale to ensure an inclusive, safe and sustainable distribution to reach frontline healthcare workers, at-risk groups and eventually all people around the world.
Poisoning everyone is portrayed as a virtue, a challenge
that we're all supposed to rise up to, but are "sadly" not sure if we can manage it. This is supposed to make people sad for those poor African kids that are not going to receive the vaccines and possibly die from Covid, while failling to consider whether the vaccines are even necessary or perhaps actually more harmful than the disease that they are supposed to protect against.
Bill Gates: Data could help us stop Alzheimer's (archive) (MozArchive)
Instead of having to navigate dozens of individual databases, scientists will be able to access and upload information to a patient database from around the world.
According to this timeline of medical history (archive) (MozArchive), the first successful appendectomy
had been performed in the year 1763. I'll mark that as the start of modern medicine, as it seems like the first incidence of a truly "modern" medical procedure. So, 261 years of existence and yet the only diseases that are claimed to have been cured (archive) (MozArchive) are the infectious ones. And yet, if you actually read the article, most of those diseases still exist and keep wreaking havoc:
Even with proper antibiotic treatment, diphtheria kills about 10 percent of the people who contract it.
According to the CDC, pertussis causes 10 to 20 deaths each year in the United States, and there were 25,000 cases reported in 2004. Worldwide, the disease causes far more damage -- about 50 million people around the world are infected annually, and WHO estimates around 294,000 deaths each year.
WHO estimates that annually pneumococcal disease is responsible for 1 million fatal cases of respiratory illness alone; most of these cases occur in developing countries.
There is also the question of whether modern medicine actually had anything to do with the decreased incidence of the infectious diseases, and for many, it seems that the answer might be no (archive) (MozArchive), or at most a very small percentage contribution. But even if we treated those few infectious diseases as success stories of modern medicine, the full picture is still quite pathetic as not a single chronic disease has been cured during its 261 years of reign and in fact more and more new ones keep popping up. That's despite plenty of data already being available in scientific journals - PubMed® comprises more than 36 million citations for biomedical literature from MEDLINE, life science journals, and online books
. I think if this "more data" approach was supposed to work, we'd already be seeing some effects, but there are literally none in terms of actual cures. Maybe we don't actually need more blood test data but different types of data (historical, traditional, personal experiments (archive) (MozArchive)...), or a better interpretation of existing data, perhaps a completely new paradigm, etc. Or maybe just apply some of the things we already know at the population level. Looking at all the compromised entities that support this project doesn't fill me with confidence at all. It's probably going to end up the same way as cancer research - another scam looking to extract money by pretending that a cure is just around the corner. Please realize that - as long as medicine is profit driven - there is actually no motivation to bring about cures, because if you do, you lose exploitable patients. The profit dragon chases its own tail through (for example) endless "data collection" and "research" while convincing people something is being done, so they don't resist (or even notice) the robbery. Oh, and it's funny to read Billy's example supposedly supporting the data-driven approach to curing disease:
Several years ago, our foundation launched an initiative to pool information about childhood growth to try to see when exactly a child who ends up stunted starts falling behind.
If you’re born during monsoon season—when food can be harder to come by—you still have a decent shot at getting back on a normal growth curve eventually. But if your mother was in her third trimester during monsoon season, you’re much less likely to get back on track.
Hahaha. I swear, these lizards literally spent money to check during which seasons the lack of availability of food does the most harm, instead of just...giving the kids food. For fuck's sake. They have to either be extremely cruel or even more oblivious - and I can't believe someone can be that oblivious, so cruel it must be.
The availability of patient data all in one place also presents serious abuse possibilities. Imagine - everyone's hormone levels beautifully stored for the so-called "elites" to access and exploit with a few clicks. Want to know which areas need more plastics to numb them by destroying their testosterone levels? It's right there for you to check. Maybe the big corporations could "recommend checkups" (which cost money) based on issues they've found in your blood profile, real or imagined. Then you get thrown into the medical mill based on possibly nothing. Maybe you'd be rated on your aggressiveness based on your hormone levels and assigned a lower social credit score or have a module added for the CCTV cameras to watch you more closely. Hell, the so-called "elites" could just execute an all-out genocide based on what they think are abnormalities in people's blood profiles. Hackers could also conceivably access this data down the road and use it for their own purposes such as blackmail, etc. I do not see any positives from this scheme; on the other hand, endless dystopic scenarios could be imagined.
We urgently need a Global Data Convention. Here’s why (archive) (MozArchive)
A Global Data Convention would constitute an integrated set of data principles and standards that unite national governments, public institutions, private sector, civil society organizations and academia. These universal principles and standards would set out the elements of responsible and ethical handling and sharing of data and the global institution or institutions that would provide incentives for applying these principles and overseeing their consistent application across different communities. Any such convention would need to address privacy of personal data, access to data, the exchange of data, data interoperability and data transparency, to name a few.
Do I get a say into any of this? Because I don't see "regular citizens" mentioned anywhere here. We do, obviously, need to curb the collection and abuse of data one way or another soon. But somehow I don't trust those people to do a good job on this for us. They don't even talk about limiting the collection or usage of the data, just vague assurances of ethical handling
and responsible use
(similar tricks as Mozilla). So I expect this to be an attempt to grab control of as much data as possible, and then who knows what they will do, but I doubt it will be anything good. It will almost surely increase the divide in power between the so-called "elites" and plebs even more. In other words, the same issue as with the medical data, except this time with other types of data - such as location, browsing history, or anything else you can think of.
Welcome to 2030. I own nothing, have no privacy, and life has never been better (archive) (MozArchive)
The headline that shook up the alt media and became a meme. In this piece, the author posits a hypothetical city where, for example:
I don't own anything. I don't own a car. I don't own a house. I don't own any appliances or any clothes.
Everything you considered a product, has now become a service. We have access to transportation, accommodation, food and all the things we need in our daily lives. One by one all these things became free, so it ended up not making sense for us to own much.
Oh, there is still a need. Because we can actually control our personal stuff, dress in a style that appeals to us, design our home or vehicle and control where it goes, etc. And that's what this entire thing is about. The loss of control, or more like the transfer of it into the hands of the so-called "elites". Because, it's the so-called "elites" that will decide what kind of transportation, accomodation, food and all the things we need in our daily lives
are going to be available; how they are to be used; who can use them and when, etc. If we own much
(or at least some things), then we can do things in our prefered way instead of only the so-called "elites"' way. But that's not what the so-called "elites" want (as seen in the above sections already). In all their schemes, the pleb has zero effect on anything. In the fully realized WEF 15 minute city, we're little more than caged rats. If you've read Ted, these schemes will result in the ultimate taking away of the "power process" and cause widespread (more than it already is, anyway) mental disease. And of course, a few positive sounding things are used to sell us this idea:
We had all these terrible things happening: lifestyle diseases, climate change, the refugee crisis, environmental degradation, completely congested cities, water pollution, air pollution, social unrest and unemployment.
But again, it's all just a sales pitch. There isn't even proof that the so-called "elites" actually want to get rid of those things, nor that it's possible through their schemes. And even the author - who speaks positively about these ideas - recognizes some of the dangers:
Once in awhile I get annoyed about the fact that I have no real privacy. No where I can go and not be registered. I know that, somewhere, everything I do, think and dream of is recorded. I just hope that nobody will use it against me.
Keep hoping. It's not going to happen as the "recordings" are already being used against us. More "recordings" in these WEF cities mean more pressure to conform, less freedom, and more mental disease due to being caged animals.
30 visions for a better world by 2030 (archive) (MozArchive)
I don't want to cover all 30, as some of the topics are foreign to me and I don't want to embarrass myself and mislead people. But I have some comments on a few particularly dangerous points. So let's go:
The year is 2030. Imagine this: a young man called Ajay lives in India. In his teens, he experienced an episode of depression. So when, as a new undergraduate, he was offered the chance to sign up for a mental healthcare service, he was keen to do so.
Why did he have depression in the first place? Why is that not considered? Why is it assumed that his only option was to sign up for a mental healthcare service
. Anyway...
Ajay would later develop clinical depression, but he spotted that something wasn’t right early on when the feedback from his mental healthcare app highlighted changes in his sociability (he was sending fewer messages and leaving his room only to go to campus.)
So, an "app" (really malware) tracks how many messages you send and how often you leave the house to mark you as "depressed" if it's below some arbitrary threshold. How creepy. Is it not obvious that introverts exist? Are there not many reasons someone might leave the house less for a certain time period? For example a car accident, or a covid quarantine (lol), or just having a demanding project that can only be done at home. Wouldn't the tracking and reminders to leave your house just become another burden and cause even more depression? Doesn't technology already bury us with more data that our brains can handle? That's what it seems to me. But anyway, what happens if the app detects these "abnormalities"?
Shortly thereafter, he received a message on his phone inviting him to get in touch with a mental health therapist: the message also offered a choice of channels through which he could get in touch.
HAHAHA. You get thrown into the medical mill of course. And the mill really doesn't like letting you go once you're in it.
His progress through the rare depressive episodes he still experiences is carefully tracked. If he does not respond to the initial, self-care treatment, he can be quickly referred to a medical professional.
Why is he still getting these depressive episodes
? What makes people depressed in the first place, again? Why is this crucial issue being ignored? Of course, it's because the so-called "elites" are not interested in improving the horrible conditions of the modern world that destroy mental health in the first place. If they did that, they wouldn't be able to sell us their "cure" (Great Reset) anymore, as there would be no disease. Anyway, moving on to the next item that is kind of related to this one - Virtual reality will protect our mental health
:
I see a world where technology such as smartphones improve mental health and reduce suicide risk. Sensors in smartphones combined with AI will allow software to create “buddies” that will assimilate mental health knowledge about each person, and then help them navigate safely day-to-day.
HAHAHAHA. Isn't it obvious now that people's mental health is only a Trojan horse through which they will bring their spy and control dystopia? Why do we need digital "buddies"? Hasn't this idea already failed embarrassingly? Of course, people have been isolated from each other (during covid, and for other reasons that are more deeply entrenched), and the "superhero" so-called "elites" swooped in and threw them their "digital buddies". It's all been planned, my friends.
I predict that people around the world will have continuous, immediate and effective access to digital therapeutics for mental health. Support will be offered proactively and ‘just in time’.
It's still being ignored as to why people need constant mental health support in the first place.
The clunky and rigid digital interventions we have today will be transformed into interactive games and experiences that deliver ‘therapeutic content’ enjoyably, by stealth, using technologies such as virtual reality.
Here's where the cat's jumping out of the bag. They want to lure you into a virtual world that's better than the real one (which they have destroyed). Then - once you've attached yourself to the fake world so much that you don't want to leave - they can do whatever they want to the real one, with zero resistance.
I see more research into how people relate and learn to live as ‘cyborgs’ from an early age.
Why live as cyborgs
at all? 100 years ago, that wasn't even an idea and people were doing completely fine. Technology was just a tool. And suddenly, we're these cyborgs
with mental disease levels off the charts. Either way, it's obvious that an eventual merge with machine is on the menu for the so-called "elites". Moving on to yet another "vision" - An end to all preventable forms of suffering
:
By 2030, I envision a world free from preventable forms of suffering, especially those inflicted by infectious and non-communicable diseases. This can easily be achieved through the equitable application of new technologies such as blockchain, the internet of things and artificial intelligence (AI)
As I've said earlier, there isn't any evidence that this data-driven approach to disease works. 261 years of modern medicine hasn't cured a single chronic disease and even the infectious ones are doubtful. Why would this suddenly change? On the other hand, traditional populations do not have the diseases we do (archive) (MozArchive), and they gain them when they drop their traditional ways and become "civilized" (which mostly consists of exchanging their natural eating plans towards junk food based ones). There are many examples, so why pretend that the health problem is some kind of enigma that requires cosmic amounts of "research" to figure out? Of course, the so-called "elites" want you inside the medical mill so that they can not only extract money from you perpetually, but also destroy your confidence and bring about learned helplessness when you keep getting sicker and sicker despite being "medically treated".
For example, using AI to develop algorithms that take into account the influence of genetic diversity and environment on drug responses would go a long way towards increasing positive outcomes and reducing adverse drug effects.
Again. Assuming drugs are the only way to go. Moving on to yet another item - Technology supports the challenges of our ageing populations
:
Many developed countries are facing a combination of declining birth rates and increased longevity.
Fuck I'm getting tired. Conditions! Conditions! It's all in the conditions (archive) (MozArchive) - One in four (of people who didn't or don't want to have kids) said health issues were holding them back, while a fifth of respondents mentioned fears about global issues including climate change, wars and pandemics
! People don't want to make kids when they're caged rats! But no, it's muh stem cells
and muh robotics
that are going to fix everything. Oh, and increased longevity
is somehow a problem (the oldie can't work but requires resources, how dare he?!). Fuck off! Moving on to another item We use technology to make policies based on evidence
:
To maximise the benefits of science and technology, elected decision-makers need access to evidence-based analysis which walks them through the impact of proposed policy changes.
Science-based policy change. Didn't that fail completely during the "pandemic" already?
Regulators should work with affected stakeholders, industry leaders and technology partners to incorporate technological innovation into their decision-making processes.
Regulators
, stakeholders
, industry leaders
and technology partners
. Zero input from the plebeian, who just needs to shut up and bow down to his elite masters. Fuck it. Anyway, item #19 is titled A new kind of capitalism takes root
, which hell, I can't even be bothered to analyze in depth. As long as it's based on the profit motive it's going to be crap. So let's go straight to the next item, Cutting poverty in half with information technology
:
The first decade of the 21st century showed us that the use of ICT has positive effects on the productivity of individuals, households and the economy in general.
The productivity
false god rears his ugly head again. Just give the kids food. You know, instead of wasting resources on wars and (fake) space missions and ads and planned obsolescence and producing addictive foods and the costly (but defective) education system and...Stop pretending poverty requires complex solutions, again! Moving on to item #22, Technology in space underpins security on earth
:
By 2030, the combination of space technology and AI will have helped us deal with global challenges like deforestation, oil spills, farming, cross-border terrorism and migration flows
Prove it. We didn't use to need it. To stop deforestation just stop burning the forests, idiots. The Hunza people have no problem farming without advanced technology. Item 23 is titled Precision medicine is for everyone, not just the rich
and I'm sure you can guess the problems with it. But anyway:
It would be amazing to think that by 2030, everyone has access to technologies that enable them to make better health decisions. In this future, precision medicine and personalized medicine can become part of everyone's health options - not just the rich.
Personalized medicine
is a scam. The Hunza enjoy perfect health without any "personalization". Other traditional societies (archive) (MozArchive) - In Kitava, the intake of Western food is negligible and stroke and ischemic heart disease are absent or rare. The body mass index (BMI) and diastolic blood pressure are low in Kitavans
confirm this trend (archive) (MozArchive) - Vascular disease is uncommon in both populations and there is no evidence of the high saturated fat intake having a harmful effect in these populations
. Now back to the WEF:
Most of all, biotechnology and medicine have not intruded into people's lives and medicalized the ‘normal’ course of life.
This has already happened and I want it gone.
How do we get there? As we learn more about pregnancy, screening services can add to knowledge of one’s life course, predicting health outcomes before the child is even born.
The screening services
are harmful in themselves (archive) (MozArchive). We don't need them and have lived for millions of years without them, just like all the animals, who would bite you if you tried to screen
their pregnancies. Focus on the food, then all health issues which the screenings would be diagnosing, disappear. Moving on to "vision" #24: We’ll get water from the moon to help fuel a new era in space
:
By 2030, humans extract the first resource in outer space - this could be water on the moon.
The extraction of water on the moon will not only enable human life to be sustained in space, but it will enable us to build and maintain the necessary space infrastructure, including satellites, to sustain and improve our quality of life on Earth.
Just stop wasting the water here, on cloth production, etc. We have more than enough.
Further, our quality of life on will be significantly improved as a result of the innovations we achieve with a sustained human presence in deep space, as well as the extension of the Earth’s economy into space and the subsequent creation of business and jobs.
Business and jobs
as a master measure of success, holy crap. BTW it's 2024 and still not a single human has actually been in space (defined as stepping on any other space rock than Earth). Don't forget that. Item #27, Buildings will respond to their environment
...This doesn't deserve a thorough review. Just have good looking buildings. Useless gimmick. Item #29 is titled We have a new economy for nature
... again, stop making an economy
out of everything and the problems disappear.
Now, the sneaky thing about the Great Reset
initiative is that we actually do need a reset. Basically everything sucks right now, and so it's too bad that the majority of "right-wing", "alternative", "conservative" writers only seek to "conserve" the current system which is just as bad as the so-called "elites"' Great Reset. The one based on the unlimited accumulation of wealth or property, and the exploitation, environmental destruction, cultural destruction, health destruction etc. coming along with it. And this is how the so-called "elites" succeed. Since they pretend to have the only cure to the current disease, but it's actually worse, so some will choose to stick with the disease. But eventually - since the disease will keep getting increasingly unbearable - more and more will fall for the "cure". Let's remember that the World Economic Forum are the same people that gave us the "pandemic". If they were able to do something so evil, how can you suddenly think that their "cure" is going to be good? No, of course the "pandemic" was just a bait so that people accepted their upcoming dystopia more easily. But maybe (and surely) there are other options. We do need a Great Reset, just maybe not their Great Reset.
Anyway, it's clear now that the NWO / Great Reset is not just in the conspiracy theorists' imaginations, but actively being realized. And they've even graciously given us a date - 2030 - until which we have to stop it. But of course, with the Stockholm Syndromization of the people (caused by the COVID-19 measures), they've ensured we won't do shit. Worse than that- even if the populace eventually uncucked itself - it might be too late to resist with systems such as AI surveillance, social credit, smart homes, microchips, mind links, digital payments, murder drones, etc. widely in place. See Technological slavery.
The eventual endgame, I think, is depopulation. This can be easily seen by the fact of how the authorities haven't cared about the lives of people during this fake pandemic at all. Now, they can't just barge in and start killing everyone; after all, we heavily outnumber them and you'd think that - even with how cucked the populace has gotten - we'd do something at that point. And so, they need more stealthy ways of reducing the population. Corona provides them a few good ones (such as homelessness, suicides, vaccine "side effects" and postponed doctor visits). Slowly but surely, they will include more direct ways of doing so (boiling frog strategy). But what is the actual point of depopulation?
Mike Adams, the guy who runs Natural News, has once come up with an interesting theory in one of his videos (I can't find it now so this might be more my own take on things). All the stuff the globalists are doing is meant to kill off the weak, stupid, lazy, unhealthy, socially useless, etc people. Remember that it's most often the psychopaths that rise to power (archive) (MozArchive), and a Hunger Games-style competition to weed out the weak is their idea of fun. This would fit right in with the fake pandemic considering the suicides, denied operations, evictions, etc. So, when the depopulation agenda is finally realized, all that's left will be the best humanity has to offer. Then, those remaining smart, healthy, strong, driven people will be able to focus in propelling humanity to great heights, with space exploration, transhumanism, etc. without worrying about the useless eaters getting in the way.
At least, that's how the ruling class would think about it. To them, the regular person is a cockroach unless they prove themselves according to their criteria, of course. In reality, the depopulation agenda would mostly affect poor people regardless of any other traits. And maybe some people prefer a way of life that is less technological, more spiritual, etc. and don't care about participating in the so-called "elites"' stupid game. Those, too, would not survive the purge. Whatever the explanation, the fact that the globalists are doing depopulation can't be denied at this point.
I was about to finish up this report, but I've got an idea which should bury the official story once and for all (without drowning yourself with yet more sources or explanations). Recall the list of things I've posted in the Mozilla report that they would have done if they cared about the stuff they espouse? I'm going to try to do something similar here - what would have actually happened if this was a real (not engineered) pandemic that was claiming all these lives, endangering humanity and that the authorities are earnestly trying to stop? Let's just get to it:
Even the evil Mozilla has at least put (weak) tracking protection in their browser by default since I've posted the list (but have brought in some new malicious stuff, of course). On the other hand, in the COVID-19 case the authorities did absolutely nothing that helps people and a shitload that hurts them. When even the fucking Devil (Mozilla) has more ethics than you, you know you're really special. Anyway, I suspected this pandemic was fake news right from the beginning (knowing that the spooks have pulled off similar scams before) - but there was still some doubt lingering around in my mind. Now, I am absolutely sure this is only a PSY-OP. Since starting this, I've seen zero evidence to support the official story and no justifications for what the authorities are doing. Nothing I've read and none of the people I've talked to were able to show me anything substantial. In fact, the deeper I dig, the more damning information I find and the whole thing just seems like a sick joke. For me, I think the investigation of this increasingly smelly pile of cow dung is done (UPDATE: of course, I did not keep promise - just way too much great info appeared to ignore it). Now, all that remains is to wait for the aftermath and hope we can get through it with some freedom still remaining. Let me end on this note, and have a nice day ^_^.
This is the tl;dr version of the report (read the whole thing you lazy bum):